欢迎访问《安徽农学通报》官方网站,今天是
小浆果专栏

赤霉素和萘乙酸处理对‘珠宝’蓝莓果实品质的影响

  • 陈玫 ,
  • 柳琪 ,
  • 徐乐 ,
  • 叶振风
展开
  • 安徽农业大学园艺学院,安徽 合肥 230036
叶振风(1982—),男,安徽宿州人,硕士,高级实验师,从事果树种质资源创新和病害防治研究。

陈 玫(2004—),女,广东汕头人,从事果树种质资源创新研究。

Copy editor: 吴思文

收稿日期: 2025-04-02

  网络出版日期: 2025-05-13

基金资助

安徽农业大学大学生创新创业训练计划项目(X202410364251)

安徽省怀宁县蓝莓产业科技特派团“蓝莓提质增效栽培技术试验示范”(2023tpt121)

Effects of GA3 and NAA treatments on fruit quality of ‘Jewel’blueberry

  • CHEN Mei ,
  • LIU Qi ,
  • XU Le ,
  • YE Zhenfeng
Expand
  • College of Horticulture, Anhui Agricultural University, Hefei 230036, China

Received date: 2025-04-02

  Online published: 2025-05-13

摘要

为探究不同浓度赤霉素(GA3)和萘乙酸(NAA)施用组合和施用次数对蓝莓果实发育和品质性状的影响,本试验以蓝莓品种‘珠宝’为试验材料,以清水处理为对照(CK),对盛花期蓝莓幼苗分别喷施25 mg/L GA3、20 mg/L NAA、25 mg/L GA3+20 mg/L NAA(GA3+NAA),在幼果期和膨大期分别对各组果穗进行2次和3次重复喷施处理,测定处理后各组蓝莓的单果重、总酚和原花青素含量等。结果表明,NAA和GA3处理提升单果重的效果优于GA3+NAA处理;喷施2次GA3+NAA可提高植物总酚、原花青素、可溶性糖和可溶性固形物含量,且效果优于单独喷施2次GA3或NAA;NAA和GA3+NAA处理降低可滴定酸含量的效果优于GA3处理;喷施1次GA3对蓝莓维生素C含量提升效果较佳。综上,喷施2次GA3+NAA(25 mg/L+20 mg/L)有利于提升蓝莓果实品质。本文为蓝莓栽培中植物生长调节剂的科学应用提供参考。

本文引用格式

陈玫 , 柳琪 , 徐乐 , 叶振风 . 赤霉素和萘乙酸处理对‘珠宝’蓝莓果实品质的影响[J]. 安徽农学通报, 2025 , 31(9) : 4 -8 . DOI: 10.16377/j.cnki.issn1007-7731.2025.09.002

Abstract

To explore the effects of different application combinations and application frequencies of gibberellin (GA3) and naphthylacetic acid (NAA) at different concentrations on the fruit development and quality traits of blueberries, the blueberry variety ‘Jewel’ was used as the experimental material, and water treatment was used as the control (CK). The blueberry seedlings at the full flowering stage were sprayed with 25 mg/L GA3, 20 mg/L NAA, and 25 mg/L GA3+20 mg/L NAA (GA3+NAA), respectively. The fruits in each group clusters were repeatedly sprayed twice and three times respectively during the young fruit stage and the expansion stage. The indicators such as the single fruit weight, total phenol and proanthocyanidin content of blueberries in each group after treatment were determined. The results showed that the effects of NAA and GA3 treatment in increasing the single fruit weight were better than those of GA3+NAA treatment. Spraying of GA3+NAA twice could increase the contents of total phenols, proanthocyanidins, soluble sugars and soluble solids in plants, and the effect was better than spraying GA3 or NAA alone twice. The effects of NAA and GA3+NAA treatments in reducing the content of titratable acids are superior to those of GA3 treatments. Spraying GA3 once had a better effect on increasing the vitamin C content of blueberry. In conclusion, spraying GA3+NAA (25 mg/L+20 mg/L) twice was beneficial for improving the quality of blueberry fruits. This article provides a reference for the scientific application of plant growth regulators in blueberry cultivation.

蓝莓是杜鹃花科(Ericaceae)越橘属(Vaccinium)的一种小浆果树种。其果实为蓝紫色,果面覆盖白色果粉,风味独特[1]。随着现代农业科技的进步,蓝莓栽培技术体系得到不断优化与创新。目前,蓝莓产业在种植规模、单产水平和果实品质等方面均取得了显著提升,然而在生产效率、资源利用率等方面有待进一步提高[2-3]。因此,亟需开展蓝莓品种选育和栽培技术研究。萘乙酸(NAA)和赤霉素(GA3)是农业生产中常用的植物生长调节剂,已被广泛应用于果蔬的种植栽培和品质调控中。NAA和GA3均可提高果实单果质量,改善其外观和贮藏性能[4-5]。李昕辉等[6]研究表明,适当浓度的GA3处理可提高中秋酥脆枣的可溶性糖、维生素C含量。王颖等[7]研究表明,经GA3处理后的早黑宝和晚黑宝葡萄在幼果期果实硬度有所增加,在转色期果实可溶性固形物、总花色苷含量均显著增加。吴琼等[8]研究指出,适宜浓度的NAA会降低黑莓果实中可溶性固形物与总多酚含量。张春红等[9]研究表明,低浓度NAA可提升蓝莓单果重量、多酚含量,高浓度NAA则可提高其果实维生素C和可溶性固形物含量。孙晶[10]研究发现,3个蓝靛果品种果实的抗氧化能力存在差异,‘蓓蕾’果实生物活性物质含量较高。因此,外源生长激素的喷施效应因果实类型和喷施时期不同而存在一定差异。目前,GA3和NAA对蓝莓果实发育和品质性状影响的报道较少。本研究以南高丛蓝莓品种‘珠宝’为试验材料,测定不同GA3和NAA施用组合和施用次数处理下的蓝莓生长发育状况及成熟果实中营养品质指标的变化,为GA3和NAA在蓝莓生产上的科学应用提供参考。

1 材料与方法

1.1 试验地点与材料

试验于安徽安庆怀宁县田胜生态蓝莓园进行,选取30株树形基本一致、长势良好的‘珠宝’蓝莓植株开展试验。

1.2 试剂与仪器

电子天平;手持糖度计;植物总酚试剂盒,植物原花青素试剂盒,植物可溶性糖含量试剂盒,均购于南京奥青生物技术有限公司;植物维生素C ELISA检测试剂盒购于上海酶联生物科技有限公司;可滴定酸含量由南京奥青生物技术有限公司测定。

1.3 试验设计

选取27株处于盛花期(2024年3月20日)的蓝莓植株,随机分为3个处理组:(1)25 mg/L GA3,(2)20 mg/L NAA,(3)25 mg/L GA3+20 mg/L NAA(GA3+NAA)。在幼果期(2024年4月20日)和膨大期(2024年4月30日)分别对果穗进行2次和3次重复喷施处理。幼果期和膨大期各处理组在处理前分别保留3株不进行喷施处理,即盛花期各处理组9株均进行喷施,幼果期各处理组仅6株进行喷施,膨大期各处理组仅3株进行喷施,另选取3个时期各3株蓝莓植株进行清水处理(CK)。

1.4 测定指标及方法

1.4.1 单果重

随机选取各处理组的蓝莓植株,在其四周均匀取果实样品,用电子天平称取质量,记录数据后立即放入冰箱低温保存,以供后续分析。

1.4.2 总酚含量

采用福林酚法[11]测定总酚含量,将蓝莓样本烘干至恒重,粉碎后进行测定,具体参照植物总酚试剂盒的说明书进行。

1.4.3 原花青素含量

采用香草醛—盐酸法 [12]测定原花青素含量,将蓝莓样本研磨成匀浆,离心后取上清液,具体参照植物原花青素试剂盒的说明书进行。

1.4.4 可溶性糖含量

采用蒽酮比色法[13]测定可溶性糖含量,将蓝莓样本研磨成匀浆,离心后取上清液,具体参照植物可溶性糖含量试剂盒的说明书进行。

1.4.5 可滴定酸含量

采用氢氧化钠—酚酞溶液滴定法测定[14],以苹果酸(折算系数0.067)进行计算,重复3次。

1.4.6 维生素C含量

采用双抗体一步夹心法[15],往预先包被维生素C抗体的包被微孔中,依次加入标本、标准品、HRP标记的检测抗体,经过温育并彻底洗涤。用底物TMB显色,用酶标仪在450 nm波长下测定吸光度。

1.4.7 可溶性固形物含量

将蓝莓果实捏破,取少量蓝莓汁液,使用手持糖度计直接测定。

1.5 数据分析

采用WPS软件进行数据整理和分析。

2 结果与分析

2.1 对蓝莓单果重的影响

图1可知,NAA和GA3单独处理提升单果重的效果优于GA3+NAA处理。除喷施3次GA3+NAA处理的单果重略低于CK,其余处理的单果重均高于CK;喷施2次、3次GA3处理提升单果重的效果较好。随着喷施次数的增加,GA3处理的增重效果逐渐增强,NAA处理的增重效果逐渐减弱,GA3+NAA处理无明显变化。综合来看,两种植物生长调节剂在提升蓝莓单果重方面可能无叠加效果,3组处理的效果由强到弱依次为2次>1次>3次,GA3>NAA>GA3+NAA。
图1 不同处理对蓝莓单果重的影响

2.2 对蓝莓总酚含量的影响

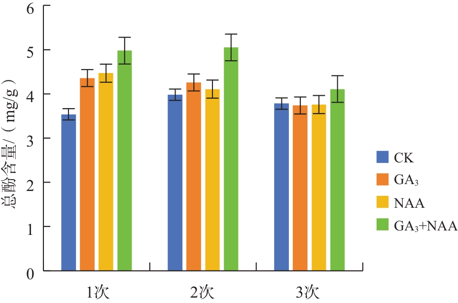
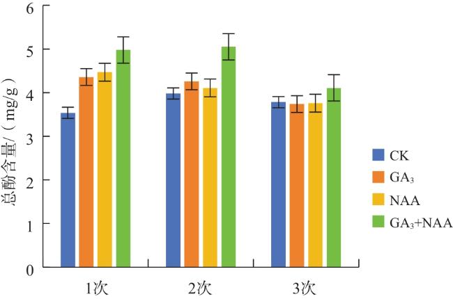
图2可知,GA3+NAA处理提升总酚含量的效果优于NAA和GA3单独处理;除喷施3次GA3和NAA处理外,其余各处理的蓝莓总酚含量较CK增加。以喷施1次GA3+NAA处理对蓝莓总酚含量的提升效果最为明显,较CK增加40.66%。随着喷施次数的增加,GA3、NAA和GA3+NAA处理对植物总酚含量的增加效果逐渐减弱。综合来看,两种植物生长调节剂在提升蓝莓总酚含量上可能有叠加效果,3组处理的效果由强到弱依次为1次>2次>3次,GA3+NAA>GA3>NAA。
图2 不同处理对蓝莓总酚含量的影响

2.3 对蓝莓原花青素含量的影响

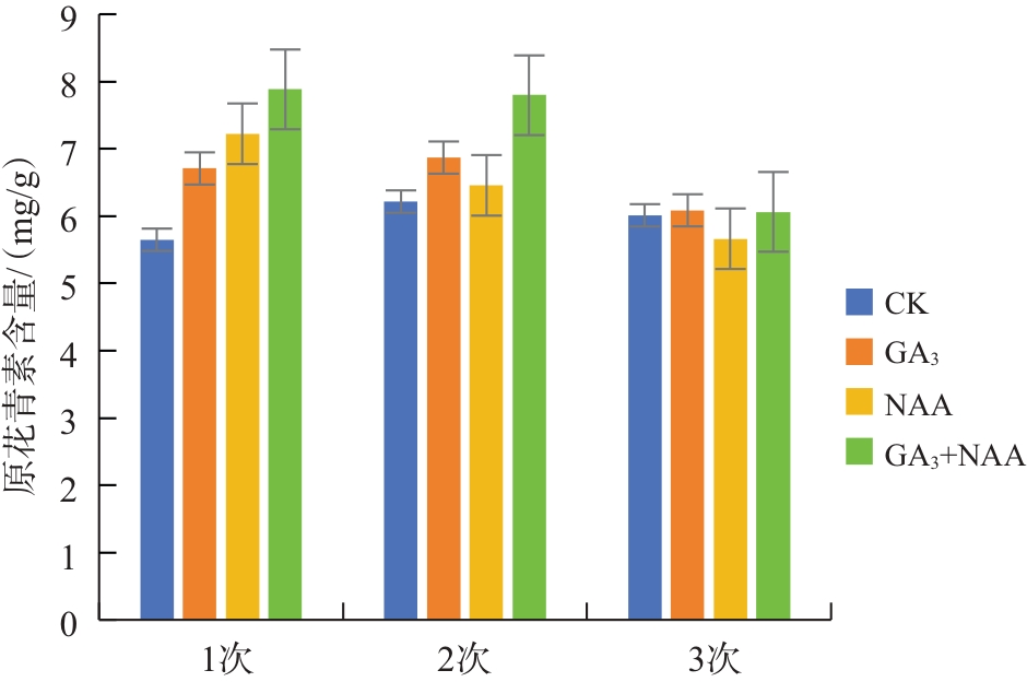
图3可知,GA3+NAA处理提升蓝莓原花青素含量的效果明显优于NAA和GA3单独处理,除喷施3次NAA的植物原花青素含量略低于CK,其余处理的含量均高于CK。以喷施1次GA3+NAA对蓝莓原花青素含量提升效果较佳,较CK增加39.58%。随着喷施次数的增加,GA3、NAA和GA3+NAA处理对植物原花青素含量的增加效果逐渐减弱。综合来看,两种植物生长调节剂在提升植物原花青素含量上可能有叠加效果,3组处理的效果由强到弱依次为1次>2次>3次,GA3+NAA>GA3>NAA。
图3 不同处理对蓝莓原花青素含量的影响

2.4 对蓝莓可溶性糖含量的影响

图4可知,GA3+NAA处理提升蓝莓可溶性糖含量的效果优于NAA和GA3单独处理。除喷施1次GA3处理和喷施3次GA3、NAA处理外,其余处理的可溶性糖含量均高于CK。以喷施2次GA3+NAA对蓝莓可溶性糖含量提升效果较佳,较CK增加21.83%。随着喷施次数的增加,GA3+NAA处理对可溶性糖含量的增加效果逐渐增强,NAA处理的增加效果逐渐减弱,GA3处理的可溶性糖含量呈先下降后上升再下降的趋势。综合来看,两种植物生长调节剂在提升可溶性糖含量上可能有叠加效果,3组处理的效果由强到弱依次为2次>1次>3次,GA3+NAA>NAA>GA3
图4 不同处理对蓝莓可溶性糖含量的影响

2.5 对蓝莓可滴定酸含量的影响

图5可知,NAA和GA3+NAA处理降低可滴定酸含量的效果优于GA3处理。GA3处理的可滴定酸含量均高于CK;喷施1次、2次NAA的可滴定酸含量较CK分别降低3.03%、18.42%;喷施2次、3次GA3+NAA的蓝莓可滴定酸含量较CK分别降低7.89%、9.38%。综合来看,两种植物生长调节剂在降低可滴定酸含量上可能无叠加效果,3个时期处理的效果由强到弱依次为2次>3次=1次,NAA>GA3+NAA>GA3
图5 不同处理对蓝莓可滴定酸含量的影响

2.6 对蓝莓维生素C含量的影响

图6可知,喷施1次GA3、NAA和GA3+NAA,喷施2次NAA,喷施3次GA3提升维生素C含量的效果优于CK,其中喷施1次GA3对蓝莓维生素C含量提升效果较佳,较CK增加99.41%。综合来看,GA3、NAA和GA3+NAA处理提升维生素C含量的效果无明显规律,3组处理的效果由强到弱依次为1次>3次>2次,GA3>NAA>GA3+NAA。
图6 不同处理对蓝莓维生素C含量的影响

2.7 对蓝莓可溶性固形物含量的影响

图7可知,GA3+NAA处理提升蓝莓可溶性固形物含量的效果优于NAA和GA3单独处理,喷施3次GA3、NAA和GA3+NAA处理的蓝莓可溶性固形物含量较CK分别增加10.04%、5.58%和8.04%。综合来看,两种植物生长调节剂在提升可溶性固形物含量上可能有叠加效果,3组处理的效果由强到弱依次为3次>2次>1次,GA3+NAA>GA3>NAA。
图7 不同处理对蓝莓可溶性固形物含量的影响

2.8 蓝莓果实品质的综合评价

表1可知,从植物生长调节剂组合分析,对各指标的处理效果由强到弱依次为GA3+NAA>GA3>NAA;从喷施次数分析,处理效果由强到弱依次为2次>1次>3次。综上,从盛花期至幼果期喷施2次GA3+NAA(25 mg/L+20 mg/L),有利于提升蓝莓果实品质。
表1 不同处理对蓝莓果实品质的影响
项目 植物生长调节剂组合效果 喷施次数效果
单果重 GA3>NAA>GA3+NAA 2次>1次>3次
总酚 GA3+NAA>GA3>NAA 1次>2次>3次
原花青素 GA3+NAA>GA3>NAA 1次>2次>3次
可溶性糖 GA3+NAA>NAA>GA3 2次>1次>3次
可滴定酸 NAA>GA3+NAA>GA3 2次>3次=1次
维生素C GA3>NAA>GA3+NAA 1次>3次>2次
可溶性固形物 GA3+NAA>GA3>NAA 3次>2次>1次

3 结论与讨论

NAA和GA3作为农业生产中广泛应用的植物生长调节剂,能够明显影响作物的多种生理代谢过程,包括促进单果重的增加、调控植物总酚和原花青素的生物合成,以及提高可溶性糖等次生代谢产物的积累等。本试验结果表明,在单果重调控方面,复合喷施2次GA3+NAA的增重效果低于单独喷施2次GA3或NAA处理,但其仍能显著提高单果重。陶俊杰等[4]、毛积鹏等[16]研究表明,GA3、NAA可提高猕猴桃果实的单果质量,本试验结果与此基本一致。复合喷施2次GA3+NAA可提高蓝莓总酚、原花青素、可溶性糖和可溶性固形物含量,且效果优于单独喷施2次GA3或NAA。在可滴定酸含量调控方面,单独喷施2次NAA有效降低了蓝莓可滴定酸的含量。在维生素C含量调控方面,单独喷施1次GA3的效果较佳。与未喷施任何植物生长调节剂处理相比,单独喷施2次GA3、NAA可降低蓝莓可溶性固形物含量,该结果与杨海燕等[5]、王颖等[7]的研究结果存在差异。
综上,在不同的GA3、NAA施用组合与施用次数处理下,‘珠宝’蓝莓的生长发育与营养品质均受到不同程度的促进或抑制作用,喷施2次GA3+NAA(25 mg/L+20 mg/L)对蓝莓果实综合品质的提升效果最佳。值得注意的是,在实际生产中,施用植物生长调节剂时应充分考虑植物生长的具体环境条件(如光照、温度、水分和土壤状况等),并据此制订合理的施用方案。
1
吴林, 胡晶, 唐雪东, 等. 我国蓝莓产业的现状与思考[J]. 中国果树2025(2):1-5.

2
刘庆忠, 崔冬冬, 朱东姿. 世界及中国蓝莓产业现状[J]. 落叶果树202456(4):1-7,107.

3
时志军, 王泓, 唐贤. 我国蓝莓高效栽培技术研究进展[J/OL]. 仲恺农业工程学院学报2024:1-14. (2024-11-12)[2025-5-15].

4
陶俊杰, 陈双双, 钟文奇, 等. 植物生长调节剂对金奉猕猴桃果实品质与果皮厚度的影响[J]. 果树学报202542(1):123-132.

5
杨海燕, 严志祥, 樊苏帆, 等. 不同浓度赤霉素处理对基质栽培蓝莓‘安娜’果实品质的影响[J]. 北方园艺2020(23):39-43.

6
李昕辉, 张勖, 王森, 等. 外施GA3对中秋酥脆枣内源激素及果实品质的影响[J]. 经济林研究202139(2):155-163,170.

7
王颖, 荀志丽, 黄丽萍, 等. 赤霉素处理对葡萄果实发育及品质的影响[J]. 中国果树2023(5):43-49,55.

8
吴琼, 吴文龙, 李维林, 等. NAA处理对黑莓果实品质及细胞壁酶活性的影响[J]. 北方园艺2021(10):15-21.

9
张春红, 吴文龙. NAA处理对蓝莓果实发育和品质性状的影响研究[J]. 中国南方果树202150(4):147-152.

10
孙晶. 3个蓝靛果品种果实生物活性物质含量及抗氧化性的比较[J]. 经济林研究201937(3):95-100.

11
李毅, 杨帅, 柳佳清, 等. 低温常压等离子体对树莓果实采后生理指标及贮藏品质的影响[J]. 食品科学202546(4):227-236.

12
朱曼利, 郭会明, 孙宏韬, 等. 火龙果酵素中原花青素含量测定方法的建立[J]. 中国酿造201736(4):184-187.

13
张述伟, 宗营杰, 方春燕, 等. 蒽酮比色法快速测定大麦叶片中可溶性糖含量的优化[J]. 食品研究与开发202041(7):196-200.

14
张红欢, 杨兴旺, 冀晓昊, 等. 树形对促早栽培桃冠层结构、光合特性及果实品质的影响[J]. 果树学报202441(3):470-480.

15
朱兆清. 核桃过敏原双抗体夹心ELISA检测试剂盒研制[D]. 天津: 天津农学院,2023.

16
毛积鹏, 姚东良, 公旭晨, 等. 不同植物生长调节剂处理对金艳猕猴桃果实品质的影响[J]. 果树学报202441(11):2272-2284.

文章导航

/