欢迎访问《安徽农学通报》官方网站,今天是
生态环境·植保

豫东棉区蚜虫空间自相关性分析

  • 吴超 ,
  • 占亚楠 ,
  • 芦振华 ,
  • 杜玉倍 ,
  • 常明娟
展开
  • 开封市农林科学研究院,国家棉花产业技术体系豫东综合试验站,河南 开封 475141

吴 超(1983—),男,河南开封人,助理研究员,从事棉花新品种选育工作。

Copy editor: 胡立萍

收稿日期: 2024-10-17

  网络出版日期: 2025-07-02

基金资助

国家现代农业产业技术体系“棉花产业技术体系豫东综合试验站”(CARS-15-43)

Exploration of spatial autocorrelation of the aphid in Eastern Henan cotton region

  • WU Chao ,
  • ZHAN Yanan ,
  • LU Zhenhua ,
  • DU Yubei ,
  • CHANG Mingjuan
Expand
  • Yudong Comprehensive Experimental Station of National Cotton Industry Technology System,Kaifeng Academy of Agricultural and Forestry Sciences, Kaifeng 475141, China

Received date: 2024-10-17

  Online published: 2025-07-02

摘要

空间自相关性分析用于评估空间数据在地理空间上的聚集趋势。本研究以开棉39为寄主品种,将10个调查点分为试验组1(点1~5)和试验组2(点6~10),利用GeoDA空间分析软件识别蚜虫发生位置和其种群数的空间特征,利用IBM SPSS Statistics 25软件分析蚜虫发生量与日平均温度等气象要素之间的相关性。结果表明,发生位置、发生量的全局莫兰指数分别为-0.371、0.678;局部莫兰指数显示,试验点的聚类主要分为高高(HH)聚类、高低(HL)聚类、低高(LH)和低低(LL)聚类;相关性分析显示,试验组1的若蚜、无翅成蚜和有翅蚜与相对湿度相关系数分别为0.907、0.900、0.516,试验组2的若蚜、无翅成蚜和有翅蚜与日平均气温的相关系数分别为-0.969、-0.988、0.090。以上结果表明,发生位置和发生量在空间上分别表现出负空间自相关性和正空间自相关性,发生位置高频地区与低频地区呈现分散趋势,而相似的发生量倾向聚集;气象因素对发生量和发生位置具有较大的影响。本文为有针对性地开展蚜虫防治提供参考。

本文引用格式

吴超 , 占亚楠 , 芦振华 , 杜玉倍 , 常明娟 . 豫东棉区蚜虫空间自相关性分析[J]. 安徽农学通报, 2025 , 31(12) : 54 -58 . DOI: 10.16377/j.cnki.issn1007-7731.2025.12.014

Abstract

Spatial autocorrelation analysis is employed to assess the clustering trends of spatial data across geographic space. In this study, using cultivar Kaimian 39 as the host plant, 10 survey points were divided into experimental group 1 (points 1–5) and experimental group 2 (Points 6–10). GeoDA spatial analysis software was utilized to identify the spatial characteristics of the aphid occurrence locations and their population number, while IBM SPSS Statistics 25 was used to analyze the correlation between aphid abundance and meteorological factors such as daily average temperature. The results showed that the global Moran’s indices for occurrence locations and abundance were -0.371 and 0.678, respectively. Local Moran’s index analysis revealed that the clustering of survey points was primarily categorized into high-high (HH) clusters, high-low (HL) clusters, low-high (LH), and low-low (LL) clusters. Correlation analysis indicated that in experimental group 1, the correlation coefficients between relative humidity and the abundance of nymphs, wingless adults, and winged aphids were 0.907, 0.900, and 0.516, respectively. In experimental group 2, the correlation coefficients between daily average temperature and the abundance of nymphs, wingless adults, and winged aphids were -0.969, -0.988, and 0.090, respectively. These results demonstrated that the occurrence locations and abundance exhibited negative and positive spatial autocorrelation, respectively, with high-frequency and low-frequency occurrence areas showing a dispersed trend, while similar abundance levels tend to cluster. Meteorological factors significantly influence aphid abundance and distribution. This study provides a reference for targeted aphid control strategies.

空间自相关性分析能够有效揭示蚜虫种群数量在地理空间上的分布格局与聚集特征,为农业管理提供科学依据,从而优化病虫害防治策略的制订与实施。翟连荣[1]研究指出,通过整合时间维度、空间格局及管理措施等多尺度分析,可以系统识别导致害虫暴发的关键驱动因子,进而预测潜在暴发区域、种群扩散趋势及其可能影响范围,并据此提出包含作物空间配置优化在内的宏观管理方案,但该方法在操作层面存在一定的复杂性。董兆克等[2]综述了昆虫种群数据分析在SPSS软件上的实现,软件的应用有效提高了分析的准确性。通过软件将蚜虫的发生点与发生量进行有效聚类,利用发生点的空间权重矩阵精准识别出热点区域,进而在这些关键区域内,运用发生量的空间权重矩阵来全面评估蚜虫的为害程度[3]。这种综合分析方法,为蚜虫的监测与防治提供了参考,协助农业管理者更加合理地调配资源,制定出针对性更强的防治措施。基于此,本研究利用GeoDA空间分析软件和IBM SPSS Statistics 25软件,探讨蚜虫的空间分布模式与环境因素之间的相关性,为该虫害的监测和防治提供参考。

1 材料与方法

1.1 试验材料

试验地点设于开封市农林科学研究院,寄主棉花品种为开棉39。

1.2 试验设计

试验分为两组,点1~5为试验组1,点6~10为试验组2;每组在棋盘式布局中设置5个采样点,点与点之间相隔5 m,采用目测法进行调查统计。棉花于4月26日播种,从5月3日的出苗期开始调查,直至6月10日的现蕾期结束。出苗后用竹竿定位,每个点调查10株,全株调查,每5 d调查1次。5月15日进行浇水处理,用水量为13 m3/667 m2。5月26日进行化学防治蚜虫[3],施用1 000~1 500倍的高效氯氰菊酯(有效成分6.6%)和吡虫啉(有效成分26.4%)稀释液。

1.3 试验方法

在互动地图上定位调查点的经纬度,坐标定位如表1所示。以位置点为ID变量,在基于距离空间权重变量中选择经纬度权重再分别以位置点和发生量权重为第一变量对蚜虫发生趋势进行整合分析。发生点空间权重矩阵基于地理距离进行构建。
表1 调查点经纬度坐标及权重
样地 纬度(N)/° 经度(E)/° 权重
调查点1 34.7690235 114.2652548 116
调查点2 34.7690091 114.2653567 582
调查点3 34.7690740 114.2653084 408
调查点4 34.7691433 114.2653446 338
调查点5 34.7691434 114.2652601 386
调查点6 34.7692050 114.2652628 642
调查点7 34.7691950 114.2653848 527
调查点8 34.7692864 114.2653245 789
调查点9 34.7693514 114.2653044 265
调查点10 34.7693436 114.2653567 316

1.4 数据处理

气象数据来源来自开封国家基本气象站(图1)。利用GeoDa空间分析软件进行全局莫兰指数(Moran’s)和局部Moran’s要素分析,以识别蚜虫发生的位置热点区域及发生量。同时,使用IBM SPSS Statistics 25软件分析蚜虫发生量与气象各要素之间的相关性。
图1 调查期间气象数据

2 结果与分析

2.1 全局莫兰指数散点图

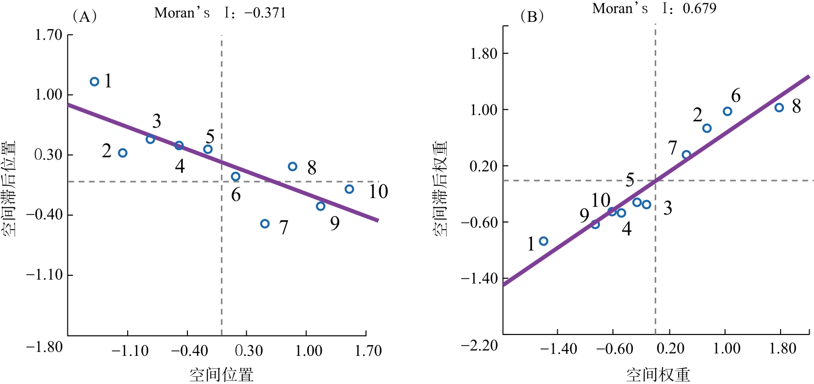
图2A所示,发生位置的莫兰指数为-0.371,这表明数据点在空间上的分布具有显著的负相关性,数据点倾向彼此远离[4]。点6和点8位于第一象限,表明该位置点的蚜虫发生情况与其周围区域呈正空间自相关性,如果该点蚜虫的发生频率较高,其周围区域的发生频率也倾向于较高,蚜虫在该区域内的分布具有聚集性。点1、2、3、4、5位于第二象限,表明这些点的蚜虫发生情况与其周围区域呈负空间自相关性,蚜虫在这些点与周围区域之间呈现分散或不均匀的分布。点7、9、10位于第四象限,表明这些点的蚜虫发生情况与其周围区域呈正空间自相关性,但与周围区域的蚜虫发生频率相反,蚜虫在这些点与周围区域之间呈现交替或互补的分布模式。综合表明,点6和点8显示了聚集性,而点1、2、3、4、5和点7、9、10则显示了不同程度的空间异质性。
图2 全局莫兰指数散点图

(A)、(B)分别为2023年位置点和发生量的全局莫兰指数散点图。

图2B所示,发生量莫兰指数为0.679,表明蚜虫发生量在空间上表现出正空间自相关性[5]。这表明在空间分布上,这10个点蚜虫发生量具有显著的聚集性。拟合直线的存在进一步支持了这一点。第一象限点2、6、7、8的权重较高,且相邻发生的加权平均也较高,表明这些位置点有较高的发生量,并且周围也有类似的高发生量。第二象限无发生点,意味着在所研究的区域内,未观察到低值被低值包围的明确模式。蚜虫可能更倾向在某些特定条件下聚集,而在其他条件下则分布较为分散。如果第二象限代表的环境条件不利于蚜虫聚集,那么该象限就可能没有点。第三象限点1、3、4、5、9、10的权重较低,且相邻发生的加权平均也较低,表明这些位置点有较低的发生量,并且周围也有类似的低发生量。第四象限无数据点意味着没有位置点的权重较高。图中正斜率回归线表明,随着空间滞后变量的增加,实际观测值也倾向增加,进一步支持了正空间自相关性的结论。

2.2 局部莫兰指数要素

当发生量局部莫兰指数为正值时,相似的发生量倾向聚集。高高(HH)聚类表示一个“热点”区域或点具有高发生量,且其周围区域或点也具有高发生量,这些区域提供了对蚜虫特别有利的条件,如5月9日、5月15日点2和5月25日点6,P<0.05,表明区域密度显著高于其他区域。高低(HL)聚类表示一个区域或点具有高发生量,而其周围区域或点具有低发生量,如6月6日点9,P<0.001,表明这个区域的发生量高于其周围区域,周围环境不利于蚜虫生存或分布。低高(LH)聚类表示一个区域或点具有低发生量,而其周围区域或点具有高发生量,表明该区域是蚜虫密度低的“边缘”区域,受到周围高密度区域的影响,本研究中蚜虫发生量无该特点。低低(LL)聚类表示一个区域或点具有低发生量,并且其周围区域或点也具有低发生量,如5月9日点1等,P<0.01,表明这个区域的蚜虫密度显著低于其他区域(表2)。
表2 苗期蚜虫空间分析聚类分析
日期(月-日) 默认距离带 莫兰指数 局部莫兰指数发生量、位置聚类 显著性水平
1 2 3 4 5 6 7 8 9 10 0.001 0.01 0.05
发生量聚类 05-09 0.879 646 0.640 LL HH LL LL LL 9 1、2、5、7
05-15 0.637 519 0.806 LL HH LL LL LL LL 9 1、2、5、7、8
05-19 0.889 854 0.705 LL LL LL HH LL LL 1、10 5、6、9 8
05-25 1.428 201 0.327 LL LL LL HH 1、4 3、6
05-31 0.775 452 0.808 LL LL LL 1、9 10
06-06 1.603 059 0.277 LL LL HL HL 9 7 3、5
位置点聚类 05-09 0.879 646 -0.346
05-15 0.637 519 0.225 LH LL 1、4
05-19 0.889 854 -0362 LH HL 1、8
05-25 1.428 201 0.021
05-31 0.775 452 -0.246 LH HL 1 7
06-06 1.603 059 0.084
表2可知,蚜虫发生位置的局部莫兰指数可为正值也可为负值,反映了空间异质性,即在不同的环境里决定蚜虫种群动态以及蚜虫发生规律的关键因素有所不同[6]。高发生位置显著性表明该区域是蚜虫迁移路径上的关键点或具有特定的微气候条件,使得蚜虫倾向在这些位置聚集或避开。低发生位置显著性表明该区域在空间分布上没有特别突出的特征。当发生位置莫兰指数为负值时,相似的发生位置倾向于相互远离。发生位置聚类高高(HH)表示某些特定的地理位置频繁发生蚜虫,这些位置可能具有吸引蚜虫的共同特征,如特定的植物种类或环境条件。本研究中的区域无该聚类特点。高低(HL)模式表明某些特定位置经常发生蚜虫事件,而相邻位置则很少发生。如5月9日的点8,5月31日的点7这与特定位置的微环境条件或人为干预有关。低高(LH)表示一个区域或点具有低发生次数,而其周围区域或点具有高发生频率,这表明该区域是蚜虫密度低的“边缘”区域。如5月15日和19日点1,可能受到周围高密度区域的影响,即蚜虫通常不在这些位置发生,但周围有频繁发生害虫的点。低低(LL)表明这些位置很少发生蚜虫为害,其缺乏蚜虫生存和繁殖的条件,如5月15日的点4。

2.3 蚜虫发生量与气象要素间的相关性

温度及湿度等气象条件是导致蚜虫生长发生动态性变化的主要影响因素[7]。由表3可知,试验组1的5个点的蚜虫量跟相对湿度呈正相关,若蚜、无翅成蚜和有翅蚜与相对湿度相关系数分别为0.907、0.900、0.516,其中若蚜和无翅成蚜与相对湿度的相关性具有统计学意义(P<0.05);而试验组2的5个点若蚜、无翅成蚜、有翅蚜与日平均气温的相关系数分别为-0.969、-0.988、0.090,其中若蚜和无翅成蚜与日平均气温的相关性具有统计学意义(P<0.01)。说明试验点位置气候的差异,会对蚜虫量造成一定影响。
表3 蚜虫发生量与气象要素间的相关性
试验组 日平均气温 相对湿度
试验组1 若蚜 -0.217 0.907*
无翅成蚜 -0.076 0.900*
有翅蚜 -0.337 0.516
试验组2 若蚜 -0.969** 0.842
无翅成蚜 -0.988** 0.873
有翅蚜 0.090 0.100

注:*和**分别表示相关性在0.05和0.01水平具有统计学意义。

3 结论与讨论

试验调查期间,5月9日、5月15日当温度升至15 ℃以上时有翅蚜开始迁入棉田繁殖,与张燕燕等[8]在河南省三门峡地区蚜虫向寄主作物转移的时间吻合。点2发生量聚类为HH,相邻点1发生量为LL,与发生位置聚类LH吻合且稳定为频发的边缘区域。5月15日浇水后至下个调查日5月19日点8发生量为HH,这与当天发生位置聚类HL完全吻合,即当天此位置发生频率比周围要高且发生量较大,表明湿度相对较低的试验组2的5个点位置因浇水导致相对湿度提升,变得适宜苗蚜繁殖。5月21日受北风4级和湿度逐渐下降的影响,蚜虫发生量中心向南转移,到了5月25日,点8的蚜虫数量已不再形成明显的热点,点8发生量聚类无数据是因为蚜虫的分布相对均匀,或当天的观察数据不足以揭示出明显的空间模式。此外,本试验调查期间无异常天气出现,苗蚜峰值在汤建国等[9]推测的5月26日人工防治后,5月31日未形成新的发生量热点,点7位置聚类为HL形成一个热点与冷点相邻的模式,这与5月26日人工防治有关。在6月6日,位置点7和9发生量为HL聚类,表明蚜虫的分布已经转移到了这些新的区域,导致了新的热点和冷点的形成。在同一个位置,5月31日出现位置聚类HL,而6月6日出现发生量聚类HL,表明在两个不同的时间点,该位置蚜虫分布和数量表现出不同的模式。
通过全局和局部莫兰指数分析,各个调查点在发生量上呈现明显聚集性,特别是在某些特定条件下,倾向在某些区域聚集。同时,通过气象相关性分析,蚜虫的空间分布模式受环境因素影响显著,不同区域的气候条件对蚜虫的发生量的影响有所不同。蚜虫倾向在某些特定条件下聚集,而在其他条件下则分布较为离散。高密度区域可能需要更密集的监控和干预措施,而低密度区域可能需要进一步研究其环境条件,以了解其不利于蚜虫生存或分布的原因。宋哲和[10]研究表明,当虫口密度未达防治指标时,采用较高的误差估计值(即要求更严格的取样标准),以避免过早实施防治而影响药剂控制效果;而当虫口密度超过防治指标时,则采用较低的误差估计值(放宽取样要求),以便快速实施防治,从而有效减少虫害造成的损失。蚜虫的空间分布模式受环境因素影响显著,且存在明显的聚集分布,这与朱荣华等[11]利用Iwao方法计算棉花苗蚜属聚集分布的结果一致。
综上,通过全局和局部莫兰指数分析识别蚜虫发生的位置热点区域及发生量,并分析其发生量与环境的相关性。结果表明,相似的发生量倾向聚集,而发生位置高频地区与低频地区呈现分散,蚜虫发生量与日平均温度和湿度具有一定的相关性,进一步证实了蚜虫的空间分布模式受环境因素影响显著,并且需采取针对性的监控和干预措施来管理蚜虫种群。
1
翟连荣. 空间分析技术在害虫种群管理中的应用[J]. 昆虫知识199734(5):314-318.

2
董兆克,戈峰. 昆虫种群数据分析及在SPSS软件上的实现[J]. 应用昆虫学报201350(4):1163-1169.

3
田颖,沈红军. 基于GeoDA的长江干流江苏段总磷空间相关性研究[J]. 上海环境科学201938(1):1-6.

4
吴超,汤玉煊,楚宗艳,等. 豫东棉区苗蚜防治适期分析[J]. 安徽农学通报202430(2):93-96.

5
曹宇鹏,方江平,屈兴乐. 基于GIS与GEODA的西藏自治区农林牧业总产值空间差异演化研究[J]. 高原农业2021(6):612-620,636.

6
周立阳. 昆虫种群动态的空间分析方法探讨[J]. 昆虫知识199936(3):178-180.

7
张慧,王艳华,张淑琴,等. 浅析气象条件与蚜虫防治的关系[J]. 农业与技术201333(7):184.

8
张燕燕,王长江,常志霞,等. 三门峡地区气象条件与蚜虫的关系及防治探讨[J]. 农村实用科技信息201016(9):22.

9
汤建国,李质根. 棉花苗期蚜虫的发生与测报的研究[J]. 江西植保199114(1):16.

10
宋哲和. 棉苗期棉蚜群的空间模型及其在实践上的应用[J]. 昆虫学报197417(1):1-11.

11
朱荣华,陈永亭,张圭松,等. 棉蚜空间格局参数特征及其应用[J]. 科技通报19917(4):221-225.

文章导航

/