欢迎访问《安徽农学通报》官方网站,今天是
生物资源·利用

连作土壤浸提液对4种作物幼苗生长发育的影响

  • 解冰冰 ,
  • 刘丝容 ,
  • 董文 ,
  • 裘静怡 ,
  • 马从洲 ,
  • 王芳
展开
  • 宿迁学院,江苏 宿迁 223800
王 芳(1982—),女,江苏宿迁人,硕士,副教授,从事连作土壤修复研究。

解冰冰(2003—),女,江苏连云港人,从事作物栽培技术研究。

收稿日期: 2025-03-12

  网络出版日期: 2026-01-07

基金资助

宿迁学院校级大学生创新创业训练项目(2024XSJ119Y)

宿迁市科技计划资助(重点研发计划社会发展)项目(S202310)

Effects of continuous cropping soil extracts on the growth and development of four crops seedlings

  • XIE Bingbing ,
  • LIU Sirong ,
  • DONG Wen ,
  • QIU Jingyi ,
  • MA Congzhou ,
  • WANG Fang
Expand
  • Suqian College, Suqian 223800, China

Received date: 2025-03-12

  Online published: 2026-01-07

摘要

为研究连作土壤对作物幼苗生长发育的影响,以葡萄、白菜、草莓、西瓜幼苗为试验材料,每种作物共设3个处理,CK为清水处理、T1为连作土壤和清水按照体积比1:4浸泡后的土壤浸提液处理、T2为连作土壤和清水按照体积比1:2浸泡后的土壤浸提液处理,采用随机取样法,叶片选取从作物生长顶端向下第4片叶,测定各处理下4种作物幼苗的株高、最长叶长、最长叶宽、茎粗、最长根长和叶片叶绿素含量等指标。结果表明,T1、T2处理的葡萄、白菜、草莓和西瓜幼苗的株高、最长叶长、最长叶宽、茎粗、最长根长和叶片叶绿素含量均小于CK;T2处理的4种作物幼苗的株高、最长叶长、最长叶宽、茎粗、最长根长均小于T1;与CK相比,T1、T2处理的4种作物叶片叶绿素含量降低。综上,连作土壤浸提液会抑制葡萄、白菜、草莓、西瓜幼苗的生长发育。本文为明晰连作障碍对作物生长的影响机制提供参考。

本文引用格式

解冰冰 , 刘丝容 , 董文 , 裘静怡 , 马从洲 , 王芳 . 连作土壤浸提液对4种作物幼苗生长发育的影响[J]. 安徽农学通报, 2026 , 32(1) : 98 -102 . DOI: 10.16377/j.cnki.issn1007-7731.2026.01.023

Abstract

To investigate the effect of continuous cropping soil on the growth and development of crop seedlings, grape, Chinese cabbage, strawberry, and watermelon seedlings were used as experimental materials. Three treatments were established for each crop: CK (control check) was treated with distilled water; T1 was treated with soil leachate obtained by soaking continuous cropping soil and distilled water at a volume ratio of 1:4; T2 was treated with soil leachate obtained by soaking continuous cropping soil and distilled water at a volume ratio of 1:2. Using the random sampling method, the 4th leaf from the top of the crop canopy was selected for sampling. Indicators including plant height, maximum leaf length, maximum leaf width, stem diameter, maximum root length, and leaf chlorophyll content of seedling plants of the four crops were determined under each treatment. The results showed that the plant height, maximum leaf length, maximum leaf width, stem diameter, maximum root length, and leaf chlorophyll content of grape, Chinese cabbage, strawberry, and watermelon seedlings in T1 and T2 treatments were all lower than those in CK; the plant height, maximum leaf length, maximum leaf width, stem diameter, and maximum root length of the 4 crops in T2 treatment were all lower than those in T1 treatment. Compared with CK, the leaf chlorophyll content of the 4 crops in T1 and T2 treatments decreased. In conclusion, the continuous cropping soil extract can inhibit the growth and development of grape, Chinese cabbage, strawberry, and watermelon seedlings. This study provides a reference for clarifying the mechanism of continuous cropping obstacles on crop growth.

连作障碍是指在同一田块,采用正常的栽种方法和田间管理措施,连续多茬种植同一种或同一科农作物,导致作物长势变弱、发育不良、病害加剧、品质降低、产量减少甚至绝收等现象[1]。由于可耕种地块数量有限,可开发的耕地数量不断减少,连作已成为集约化、大规模农业和生产中常见的种植模式之一。该种植模式也带来了严重的连作障碍问题,制约了蔬菜和水果的生产、土壤生态环境的安全和农业的可持续发展[2-3]。在当前高产出、集约化农业的发展环境下,缓解连作障碍具有十分重要的意义。
葡萄是葡萄科葡萄属的浆果类水果,种植广泛[4]。其具有重要的经济价值,甘甜味美,用途广泛,深受大众喜爱[5-6]。白菜为十字花科芸薹属蔬菜植物,营养丰富,价格低廉,是常见的保障性蔬菜之一[7]。草莓是蔷薇科草莓属高营养的浆果类水果,因其色泽艳丽、口味香甜而深受欢迎[8]。西瓜是葫芦科西瓜属重要的园艺作物之一,我国西瓜种植面积占世界总种植面积的55%[9]
受设施资源、种植条件以及生产成本等因素的限制,葡萄、白菜、草莓和西瓜的生产难以实现大规模轮作或休耕。为提高产量、增加收益,同时满足周年供应的需求,葡萄、白菜、草莓和西瓜在生产中设施复种指数均较高。王晓奕等[10]和王瑛等[11]研究表明,随着葡萄种植年限的延长及规模化、产业化进程的推进,连作障碍引发的病虫害加剧、园地更新受阻等问题日益突出;王清慧[12]研究指出,连作障碍是制约露地大白菜生产产业化、规模化发展的严峻问题;张庆华等[13]和王庆峰等[14]研究表明,当前草莓产业由于耕地数量限制,草莓连作现象十分普遍。长期的连作栽培会造成草莓植株营养生长缓慢,产量及果实品质下降[15-16]。戚琳等[17]研究表明,西瓜的多年连茬极易产生连作障碍,导致抗逆性和品质变差,产量和种植效益降低,对该作物产业的稳步发展影响较大。随着栽培时间的累积,葡萄、白菜、草莓和西瓜的生长状况变差、产量下降、品质降低,给生产企业及农户带来巨大的经济损失,一定程度上制约了4种作物产业的可持续发展。
本研究以葡萄、白菜、草莓和西瓜为试验材料,用连作土壤浸提液浇灌处理4种作物,通过测定各处理下葡萄、白菜、草莓和西瓜相关生长发育指标来探究连作土壤对这4种作物生长发育的影响,以期明晰连作障碍对葡萄、白菜、草莓和西瓜生长的影响机制,为缓解连作障碍提供参考。

1 材料与方法

1.1 试验材料

供试葡萄品种为巨峰葡萄(沭阳雅之美园林绿化有限公司);供试白菜品种为绿冠白菜(山东寿禾种业有限公司);供试草莓品种为奶油草莓(大地农业有限公司);供试西瓜品种为美都西瓜(大地农业有限公司)。连作土壤选自宿迁学院连作5年的白菜种植基地土壤,该基地连作障碍严重,植物长势弱。其他材料为沙子,其过筛后用多菌灵消毒后备用。

1.2 试验方法

本研究于2024年8—10月在宿迁学院温室内进行。将白菜种子种在非连作基质之中,待长成5 cm左右的幼苗备用。选用长势一致且无病虫害的白菜、葡萄、草莓和西瓜幼苗各60株,种植在直径为20 cm的种植盆中,每盆种植1株,种植盆中的种植土为多菌灵消毒后的沙子。

1.3 试验设计

4种作物均分别设置3个处理,CK为清水处理、T1为连作土壤和清水按照体积1:4浸泡后的土壤浸提液处理、T2为连作土壤和清水按照体积1:2浸泡后的土壤浸提液处理,每个处理20盆。在作物种植时进行第1次浇灌,之后每隔7 d浇灌1次。生长期间进行正常的养护管理。

1.4 测定指标及方法

采用随机取样法,在4种作物种植后30 d,选取从生长顶端向下第4片叶,用直尺测定植物的株高、最长叶长和最长叶宽,用游标卡尺测定茎粗,用分光光度计测定叶片叶绿素含量。最长叶长为叶片顶端到叶片基部的长度,最长叶宽为叶片最宽部位的宽度,在靠近地面1 cm的位置测量植株的直径。

1.5 数据处理

采用Microsoft Excel 2016软件进行数据处理和作图。试验数据通过SPSS 23.0软件进行方差分析和多重比较。

2 结果与分析

2.1 对4种作物幼苗生长发育的影响

2.1.1 葡萄

表1可知,株高方面,T1处理与CK差异无统计学意义(P>0.05);T2处理较CK明显降低8.11%(P<0.05);T1处理较T2处理明显增加6.98%(P<0.05)。最长叶长方面,T1、T2处理较CK分别明显降低10.66%、24.59%(P<0.05);T1处理较T2处理明显增加18.48%(P<0.05)。最长叶宽方面,T1、T2处理较CK分别明显降低16.07%、21.43%(P<0.05);T1处理较T2处理增加6.82%,但差异无统计学意义(P>0.05)。茎粗方面,T1处理与CK差异无统计学意义(P>0.05);T2处理较CK明显降低23.96%(P<0.05);T1处理较T2处理明显增加23.29%(P<0.05)。最长根长方面,T1、T2处理均小于CK,三者差异无统计学意义。
表1 不同浓度土壤浸提液处理葡萄幼苗的生长情况 单位:cm
处理 株高 最长叶长 最长叶宽 茎粗 最长根长
CK 45.85±5.78 a 7.32±0.12 a 4.48±0.15 a 0.96±0.04 a 15.78±0.34 a
T1 45.07±5.45 a 6.54±0.18 b 3.76±0.08 b 0.90±0.02 a 15.12±0.42 a
T2 42.13±5.36 b 5.52±0.17 c 3.52±0.11 b 0.73±0.02 b 14.69±0.35 a

注:同列数据后不同小写字母表示处理间差异在0.05水平具有统计学意义。

2.1.2 白菜

表2可知,株高方面,T1、T2处理较CK分别明显降低42.46%、46.84%(P<0.05)。最长叶长方面,T1、T2处理较CK分别明显降低44.44%、50.46%(P<0.05)。最长叶宽方面,T1、T2处理较CK分别明显降低40.93%、42.68%(P<0.05)。茎粗方面,T1、T2处理较CK分别明显降低33.33%和44.00%(P<0.05)。最长根长方面,T1处理与CK差异无统计学意义(P>0.05);T2处理较CK明显降低11.57%(P<0.05)。T1处理的白菜株高、最长叶长、最长叶宽、茎粗、最长根长与T2处理差异均无统计学意义(P>0.05)。
表2 不同浓度土壤浸提液处理白菜幼苗的生长情况 单位:cm
处理 株高 最长叶长 最长叶宽 茎粗 最长根长
CK 14.58±0.36 a 10.98±0.28 a 7.45±0.20 a 0.75±0.02 a 5.53±0.18 a
T1 8.39±0.32 b 6.10±0.14 b 4.40±0.12 b 0.50±0.02 b 5.01±0.14 ab
T2 7.75±0.24 b 5.44±0.16 b 4.27±0.17 b 0.42±0.01 b 4.89±0.16 b

2.1.3 草莓

表3可知,株高方面,T1、T2处理较CK分别明显降低18.15%、19.36%(P<0.05)。最长叶长方面,T1、T2处理较CK分别明显降低18.26%、18.66%(P<0.05)。最长叶宽方面,T1、T2处理较CK分别明显降低11.89%、30.75%(P<0.05);T1处理较T2处理明显增加27.24%(P<0.05)。茎粗方面,T1、T2处理较CK分别明显降低16.00%、20.00%(P<0.05);最长根长方面,T1、T2处理较CK分别明显降低8.64%、15.16%(P<0.05);T1处理较T2处理明显增加7.68%(P<0.05)。T1处理的草莓株高、最长叶长、茎粗与T2处理差异均无统计学意义(P>0.05)。
表3 不同浓度土壤浸提液处理草莓幼苗的生长情况 (cm)
处理 株高 最长叶长 最长叶宽 茎粗 最长根长
CK 10.69±0.22 a 4.93±0.11 a 3.87±0.08 a 0.25±0.05 a 14.58±0.25 a
T1 8.75±0.21 b 4.03±0.12 b 3.41±0.10 b 0.21±0.02 b 13.32±0.31 b
T2 8.62±0.18 b 4.01±0.09 b 2.68±0.14 c 0.20±0.02 b 12.37±0.23 c

2.1.4 西瓜

表4可知,株高方面,T1、T2处理较CK分别明显降低24.03%、31.58%(P<0.05);T1处理与T2处理差异无统计学意义(P>0.05)。最长叶长方面,T1、T2处理较CK分别明显降低19.26%、34.51%(P<0.05);T1处理较T2处理明显增加23.28%(P<0.05)。最长叶宽方面,T1处理与CK差异无统计学意义(P>0.05);T2处理较CK明显降低31.32%(P<0.05);T1处理较T2处理明显增加28.93%(P<0.05)。茎粗方面,T1、T2处理较CK分别明显降低23.68%和36.84%(P<0.05);T1处理与T2处理差异无统计学意义(P>0.05)。最长根长方面,T1、T2处理较CK分别明显降低6.28%、16.55%(P<0.05);T1处理较T2处理明显增加12.30%(P<0.05)。
表4 不同浓度土壤浸提液处理西瓜幼苗的生长情况 (cm)
处理 株高 最长叶长 最长叶宽 茎粗 最长根长
CK 9.53±0.18 a 6.23±0.15 a 4.63±0.08 a 0.38±0.05 a 8.28±0.11 a
T1 7.24±0.20 b 5.03±0.21 b 4.10±0.10 a 0.29±0.06 b 7.76±0.15 b
T2 6.52±0.14 b 4.08±0.15 c 3.18±0.07 b 0.24±0.04 b 6.91±0.12 c

2.2 对4种作物幼苗叶片叶绿素含量的影响

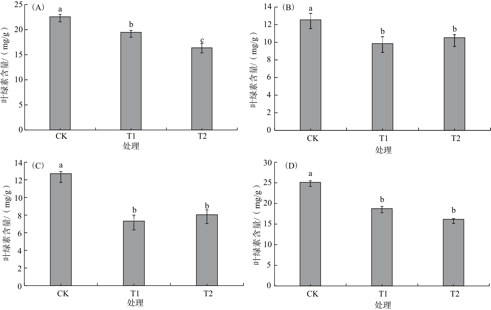
图1可知,T1、T2处理的葡萄叶片叶绿素含量较CK分别降低13.70%、27.39%,T2处理的叶绿素含量较T1降低15.87%,差异均具有统计学意义(P<0.05)。由图2可知,T1、T2处理的白菜叶片叶绿素含量较CK分别降低21.51%、16.18%,差异均具有统计学意义(P<0.05),而T1与T2间差异无统计学意义(P>0.05)。由图3可知,T1、T2处理的草莓叶片叶绿素含量较CK分别降低42.36%、36.69%,差异均具有统计学意义(P<0.05),而T1与T2间差异无统计学意义(P>0.05)。由图4可知,T1、T2处理的西瓜叶片叶绿素含量较CK分别降低25.39%、35.69%,差异均具有统计学意义(P<0.05),而T1与T2处理间差异无统计学意义(P>0.05)。
图1 对4种作物幼苗叶面叶绿素含量的影响

(A)~(D)分别为葡萄、白菜、草莓和西瓜,图中不同小写字母表示处理间差异在0.05水平具有统计学意义。

3 结论与讨论

连作是蔬菜和水果种植中常见的种植模式之一。该模式会导致植物根际土壤理化性质恶化、土壤中自毒物质增加、土壤微生物群落结构改变、土壤中有益微生物减少和病原微生物增加等情况[18]。连作土壤中存在诸多影响植物生长发育的不利因子,这些不利因子均可通过溶剂浸提的方法提取,并进行后续检测或用于生物活性试验[19-21]
本研究表明,与CK相比,T1、T2处理降低了葡萄、白菜、草莓和西瓜幼苗的株高、最长叶长、最长叶宽、茎粗、最长根长;T2处理的4种作物的株高、最长叶长、最长叶宽、茎粗、最长根长均小于T1。这一研究结果与白茹[22]、陆茜[23]的研究结果较为一致。连作土壤浸提液中的自毒物质、变化的微生物群落和土壤理化因子等会导致植物幼苗根系细胞形态改变,破坏细胞膜系统,导致胞内物质外泄,扰乱根系代谢途径,从而影响根系对养分的吸收,导致植物生长衰弱[24-26]。据此推测,本研究土壤浸提液中可能存在某种能够抑制植物根系发育的物质,但具体物质的种类和抑制机理还有待进一步探究。
本研究还发现,与CK相比,T1、T2处理降低了葡萄、白菜、草莓和西瓜幼苗叶片的叶绿素含量;T2处理下4种作物的叶片叶绿素含量均小于T1。这与周武先等[27]、陈莺宇等[28]的研究结果较为一致。出现这一结果的原因可能是连作土壤浸提液中的不利因子引起植物自身调节功能减弱、植物系统保护功能失调,导致了植物体内叶绿素的合成受阻或分解加速,最终造成植物光合作用减弱,影响了植物幼苗的生长[28]。不利因子的种类和抑制机理有待进一步探究。
综上,连作土壤对作物生长发育具有一定的影响。与清水对照(CK)相比,T1、T2处理降低了葡萄、白菜、草莓和西瓜幼苗的株高、最长叶长、最长叶宽、茎粗、最长根长以及叶绿素含量。本研究为揭示葡萄、白菜、草莓和西瓜连作障碍的形成机制提供参考。
[1]
卢维宏,张乃明,包立,等. 我国设施栽培连作障碍特征与成因及防治措施的研究进展[J]. 土壤202052(4):651-658.

[2]
YE M SUN M M HUANG D,et al. A review of bacteriophage therapy for pathogenic bacteria inactivation in the soil environment[J]. Environment international2019129:488-496.

[3]
陈丽鹃,周冀衡,陈闺,等. 秸秆还田对作物土传病害的影响及作用机制研究进展[J]. 作物研究201832(6):535-540.

[4]
刘寅喆,于祎飞,刘俊,等. 葡萄产业现状与发展对策研究[J]. 河北林业科技2019(2):50-56.

[5]
马爱红,赵胜建,郭紫娟,等. 秋水仙素诱导葡萄四倍体的研究进展[J]. 中国农学通报200622(1):236-239.

[6]
刘俊,晁无疾,亓桂梅,等. 蓬勃发展的中国葡萄产业[J]. 中外葡萄与葡萄酒2020(1):1-8.

[7]
任锡亮,王毓洪,高天一,等. 优质白菜新品种‘甬青8号’[J]. 园艺学报202552(2):541-542.

[8]
何玉明,何颖丽,郑珍. 加气滴灌对草莓产量与品质影响及其综合评价[J]. 节水灌溉2025(5):45-50.

[9]
李婷,宋曙辉,张超,等. 不同品种西瓜在贮藏过程中的品质变化[J]. 北方园艺2025(4):45-52.

[10]
王晓奕,李兴,李慧丽,等. 葡萄连作障碍原因分析与防控技术[J]. 安徽农业科学202048(7):163-165.

[11]
王瑛,艾训儒. 连作对土壤养分、微生物特性及葡萄产质量的影响[J]. 河南农业科学201645(7):49-55.

[12]
王清慧. 小麦和豌豆填闲对连作白菜生长和土壤生态环境的影响[D]. 哈尔滨:东北农业大学,2023.

[13]
张庆华,曾祥国,韩永超,等. 土壤熏蒸剂棉隆和生物菌肥对草莓连作土壤真菌多样性的影响[J]. 微生物学通报201845(5):1048-1060.

[14]
王庆峰,褚长彬,赵峥,等. 草莓连作对土壤微生物及碳氮磷功能基因丰度的影响[J]. 中国农业科学202558(17):3488-3502.

[15]
刘继培,刘唯一,周婕,等. 施用腐植酸和生物肥对草莓品质、产量及土壤农化性状的影响[J]. 腐植酸2016(2):41.

[16]
COTA L V MAFFIA L A MIZUBUTI E S G,et al. Biological control of strawberry gray mold by Clonostachys rosea under field conditions[J]. Biological control200846(3):515-522.

[17]
戚琳,孙启门,许文军,等. 生物炭协同棉隆熏蒸对连作西瓜生长的影响[J]. 中国瓜菜202437(11):107-113.

[18]
田春丽,远兵强,姚丽娟,等. 不同连作年限温室草莓根际土壤性质及真菌群落特征分析[J]. 山东农业科学202355(12):103-111.

[19]
谢田朋,崔治家,黄钰芳,等. 独一味对自身及两种高寒地区作物种子和幼苗的化感作用[J]. 中国草地学报202345(7):30-40.

[20]
林敬祯. 广西莪术连作障碍发生机制初步研究[D]. 南宁:广西中医药大学,2023.

[21]
马绍英,陈桂平,王娜,等. 豌豆土壤中潜在自毒物质的鉴定及自毒效应研究[J]. 草业学报202332(6):134-145.

[22]
白茹. 苹果连作障碍中自毒作用的研究[D]. 杨凌:西北农林科技大学,2009.

[23]
陆茜. 杨树连栽对根际土壤环境演变的影响及其自毒效应研究[D]. 南京:南京林业大学,2016.

[24]
向维. 三七根系分泌物的自毒作用及自毒物质研究[D]. 南宁:广西大学,2016.

[25]
李勇,王梓,龙期良,等. 人参幼根对苯甲酸胁迫的形态学响应及基因差异表达[J]. 中国现代中药201719(7):995-1000.

[26]
谭军,王蕊,林兴军,等. 咖啡连作根际土壤水提液对其幼苗根系发育的影响[J]. 热带作物学报202243(11):2286-2293.

[27]
周武先,熊琳珂,张雅娟,等. 化感作用对川党参种子萌发及幼苗生长的影响[J]. 山东农业科学202254(11):76-85.

[28]
陈莺宇,邱亚娟,邵晓龄,等. 纹党连作土壤浸提液对其种子萌发及幼苗生长的自毒效应研究[J]. 草业学报202433(12):122-133.

文章导航

/