欢迎访问《安徽农学通报》官方网站,今天是
农产品加工·检验检测

地顶孢霉培养物中麦角甾醇定量分析方法的建立与验证

  • 徐娟娟 1 ,
  • 李俊辉 2 ,
  • 刘发全 3 ,
  • 周群 1 ,
  • 潘瀚文 1 ,
  • 吴昊 3 ,
  • 徐自奥 1
展开
  • 1. 合肥迈可罗生物工程有限公司,安徽 合肥 231200
  • 2. 安徽赛如分析检测科技有限公司,安徽 合肥 230031
  • 3. 安徽省兽药饲料监察所,安徽 合肥 230091
吴 昊(1970—),男,江苏徐州人,硕士,正高级兽医师,从事兽药质量检测及兽药残留检测技术、动物源性微生物耐药性方面技术工作。

徐娟娟(1984—),女,安徽淮南人,硕士,高级工程师,从事质量分析及研究工作。

收稿日期: 2025-07-07

  网络出版日期: 2026-01-22

基金资助

安徽省质量基础设施标准化专项(2022MKS05)

Development and validation of quantitative method for ergosterol in Acremonium terricola culture

  • Xu Juanjuan 1 ,
  • Li Junhui 2 ,
  • Liu Faquan 3 ,
  • Zhou Qun 1 ,
  • Pan Hanwen 1 ,
  • Wu Hao 3 ,
  • Xu Ziao 1
Expand
  • 1. Hefei Macro Biological Engineering Co. , Ltd. , Hefei 231200, China
  • 2. Anhui Sci-rule Analysis and Studying Technology Co. , Ltd. , Hefei 230031, China
  • 3. Anhui Province Veterinary Drug and Feed Supervision Institute, Hefei 230091, China

Received date: 2025-07-07

  Online published: 2026-01-22

摘要

为建立一种准确、可靠的地顶孢霉培养物中麦角甾醇定量分析方法,研究基于常规高效液相色谱法,分别对检测波长、提取时间(15、25、35、45、55 min)、提取溶剂(甲醇、无水乙醇、95%乙醇)、流动相比例(甲醇∶水,100∶0、98∶2、95∶5、90∶10)、流速(0.6、0.8、1.0、1.2、1.4 mL/min)等进行优化,并对优化方法进行专属性、线性、精密度、准确度、检测限和定量限分析,利用10批地顶孢霉培养物进行方法的应用验证。结果表明,建立的高效液相色谱法的检测条件为检测波长281 nm,浸提溶液为95%乙醇、浸提时间45 min,流动相比例100∶0(甲醇∶水),流速1.0 mL/min。该方法能够有效分离地顶孢霉培养物中麦角甾醇和其他成分,且对麦角甾醇测定结果无影响;麦角甾醇在0.5~40.0 μg/mL范围内线性关系良好(R 2=0.999 2),精密度RSD小于3%,回收率在90.45%~99.41%,定量限为0.50 μg/mL,检测限为0.15 μg/mL;同一批次的地顶孢霉培养物样品重复性较好,稳定且可操作性强。综合表明,本文建立的高效液相色谱法方法具有测定范围宽、线性好、准确性高等优点,能够对地顶孢霉培养物中麦角甾醇进行准确定量。

本文引用格式

徐娟娟 , 李俊辉 , 刘发全 , 周群 , 潘瀚文 , 吴昊 , 徐自奥 . 地顶孢霉培养物中麦角甾醇定量分析方法的建立与验证[J]. 安徽农学通报, 2026 , 32(2) : 92 -96 . DOI: 10.16377/j.cnki.issn1007-7731.2026.02.023

Abstract

To establish an accurate and reliable method for the quantitative analysis of ergosterol in Acremonium terricola culture, this study optimized the detection wavelength, extraction time (15, 25, 35, 45, 55 min), extraction solvent (methanol, absolute ethanol, 95% ethanol), mobile phase ratio (methanol:water, 100∶0, 98∶2, 95∶5, 90∶10), and flow rate (0.6, 0.8, 1.0, 1.2, 1.4 mL/min) based on the conventional high-performance liquid chromatography (HPLC), subsequently validated the optimized method in terms of specificity, linearity, precision, accuracy, limit of detection (LOD) and limit of quantification (LOQ), and verified the applicability of the method using 10 batches of Acremonium terricola culture samples; the results showed that the optimal conditions of the established HPLC method were as follows: detection wavelength at 281 nm, extraction solvent of 95% ethanol, extraction time of 45 min, mobile phase ratio of methanol to water at 100∶0, and flow rate of 1.0 mL/min, this method could effectively separate ergosterol from other components in Acremonium terricola culture without interfering with the determination results of ergosterol, ergosterol exhibited a good linear relationship in the concentration range of 0.5–40.0 μg/mL (R2=0.999 2), the relative standard deviation (RSD) of precision was less than 3%, the recovery rate ranged from 90.45% to 99.41%, the LOQ was 0.50 μg/mL, and the LOD was 0.15 μg/mL, the detection results of Acremonium terricola culture samples from the same batch showed good repeatability, indicating that the method had high stability and operability; in conclusion, the HPLC method established in this study has the advantages of wide determination range, good linearity and high accuracy, which can be used for the accurate quantification of ergosterol in Acremonium terricola culture.

地顶孢霉培养物(Acremonium terricola culture,ATC)是用从古尼虫草分离的地顶孢霉经液体—固体双相发酵而得到的产品,具有麦角甾醇、腺苷、虫草素、虫草酸、多糖、氨基酸等与古尼虫草相似的生物活性物质,其作为功能性饲料添加剂核心成分,可促进养殖动物生长、提升其机体免疫力。在当前推动减少、禁止饲料中的抗生素使用的大环境下,地顶孢霉培养物能够作为替代抗生素的优质饲料添加剂,在畜牧养殖业的应用前景广阔。
麦角甾醇是真菌细胞膜的重要特征性成分,广泛存在于真菌细胞中,具有结构稳定、专一性强的特点,作为真菌生物量检测指标较葡糖胺更具代表性,可通过检测其含量实现真菌生物量的测定[1-4]。研究表明,不同虫草种类和同一种类的不同发育阶段,其麦角甾醇含量均存在较大差异,是质量评价的化学标志物[2,5]。因此,对虫草及其发酵菌丝体进行麦角甾醇定量分析,是虫草类制品质量控制体系研究的主要内容之一。目前关于灵芝、香菇、喇叭菌、美味牛肝菌、冬虫夏草等真菌中麦角甾醇的含量已有一些研究[2],文献报道的真菌中麦角甾醇含量的测定方法有薄层色谱法、气相色谱法、液相色谱—质谱法[6]和高效液相色谱法(HPLC),其中高效液相色谱法因具有分离度好、灵敏度高、准确度高、样品需要量少、自动化程度高和易操作等优点[7],以及抗基质干扰能力及对热不稳定甾醇的兼容性,可实现麦角甾醇的高效精准定量检测。作为一种较为成熟的技术手段,其广泛应用于环境微生物、食用菌以及发酵产品等的含量分析。例如,李云华等[7]和张志舟等[8]分别用高效液相色谱法测定冬虫夏草、虫草乌鸡胶囊、山茶油中麦角甾醇的含量;李迎雪等[9]用HPLC法测定猴头菌菌丝体中麦角甾醇含量;张薇薇等[10]和李绍平等[11]分别用反向高效液相色谱法(RP-HPLC法)测定人工虫草和天然虫草中麦角甾醇及游离麦角甾醇的含量。
刘书余等[12]尝试使用HPLC测定地顶孢霉培养物中的麦角甾醇含量。在相关学者研究方法的基础上,本研究旨在探索优化样品前处理流程与色谱条件,建立更具有普适性的地顶孢霉培养物麦角甾醇定量测定方法,为其相关产品的质量控制、功能成分深入研究及工业化应用开发等提供参考。

1 材料与方法

1.1 试验材料

供试样品地顶孢霉培养物(批号为20240416)由合肥迈可罗生物工程有限公司提供;供试试剂为麦角甾醇标准品(分析纯,纯度≥98%,上海阿拉丁生化科技股份有限公司),甲醇(色谱纯,Tedia)、甲醇(分析纯,天津市永大化学试剂有限公司),无水乙醇(分析纯,天津市富宇精细化工有限公司),超纯水(杭州娃哈哈集团有限公司);供试仪器为Agilent 1100型高效液相色谱仪(Agilent),VGT-1990QTD型超声波提取仪(广东固特超声股份有限公司),80-3型电动离心机(常州普天仪器制造有限公司),FA2004型分析天平(上海舜宇恒平科学仪器有限公司),UV-2450紫外可见分光光度计(岛津公司)。

1.2 试验前期准备

1.2.1 高效液相色谱条件

色谱柱:柱长250 mm,粒径4.6 mm,内径5 µm或相当的C18柱。检测器:二极管阵列检测器。检测波长:281 nm。流动相:甲醇。流速:1.0 mL/min。进样量:20 µL。

1.2.2 标准品溶液的制备

精准称取麦角甾醇标准品,置于棕色容量瓶中,加95%乙醇制成浓度为1.0 mg/mL的对照品储备液;准确吸取麦角甾醇标准品,置于棕色容量瓶中,加95%乙醇制成浓度为0.1 mg/mL的标准中间溶液;分别精密吸取适量标准中间溶液,用95%乙醇稀释制成浓度为0.5、1、2、5 、10、20和40 μg/mL的标准系列工作溶液。

1.2.3 供试品溶液的制备

称取地顶孢霉培养物粉末(过60目筛)1 g(精确至0.000 1 g),置于棕色容量瓶中,加入适量95%乙醇,超声处理(功率250 W,频率40 kHz)45 min,其间振摇3~4次,取出冷却至室温,用95%乙醇定容、摇匀、离心(转速3 000 r/min,时间10 min),取上清液过0.22 μm微孔滤膜,待液相色谱测定。

1.3 试验方法

1.3.1 方法建立

(1)波长选择。称取麦角甾醇标准品分别溶于甲醇、无水乙醇、95%乙醇中,配制成5 μg/mL的溶液,在紫外分光光度计上进行全波长扫描,确定最大吸收峰所对应的波长。(2)提取溶剂及时间的选择。麦角甾醇可溶于有机溶剂中,本试验选择几种毒性小,对环境污染小的常用有机试剂(甲醇、无水乙醇和95%乙醇);取同一批次地顶孢霉培养物3份,各称取1.0 g,分别用50 mL甲醇、50 mL无水乙醇、50 mL 95%乙醇提取,标准品用相应的溶剂溶解,在相同检测条件下考察在以上3种溶剂,不同提取时间条件下对地顶孢霉培养物中麦角甾醇检测结果的影响。(3)流动相比例。取经95%乙醇提取后的提取液,分别在不同流动相比例(甲醇:水体积分数分别为100∶0、98∶2、95∶5和90∶10)下进样检测,确定最佳流动相比例。(4)流速。取95%乙醇提取后的提取液,在甲醇为流动相下,分别以0.6、0.8、1.0、1.2和1.4 mL/min流速进行检测,观察出峰情况并计算峰面积(峰高×时间),确定最佳流速。

1.3.2 方法验证

(1)专属性验证。分别取空白溶剂(甲醇)、供试品溶液,在上述色谱条件下进样分析,考察空白溶剂对麦角甾醇测定的干扰情况。(2)线性范围验证。取标准品系列工作溶液,按上述色谱条件进样分析,以峰面积(y)为纵坐标,标准品浓度(x,μg/mL)为横坐标,绘制标准曲线,并计算回归方程和相关系数。(3)精密度验证。取同一标准品溶液,连续进样6次,记录峰面积,计算日内精密度,以相对标准偏差(RSD)表示。(4)准确度验证。采用加标回收法,称取麦角甾醇含量为617 mg/kg的地顶孢霉培养物样品1.0 g(精确至0.0 001 g),在相同样品中添加低、中、高不同浓度(相当于样品中麦角甾醇含量的50%、100%、150%)的标准品,按样品处理方法制备,在上述色谱条件下进样分析,计算回收率和RSD。(5)定量限和检测限验证。将标准品溶液从20.80 µg/mL逐级稀释,参照GB/T 27417—2017《合格评定 化学分析方法确认和验证指南》,以信噪比(S/N)分别为10和3时对应的浓度为定量限和检测限。(6)方法的应用。利用建立的方法对10个批次地顶孢霉培养物中麦角甾醇含量进行检测。

2 结果与分析

2.1 方法建立

2.1.1 检测波长选择

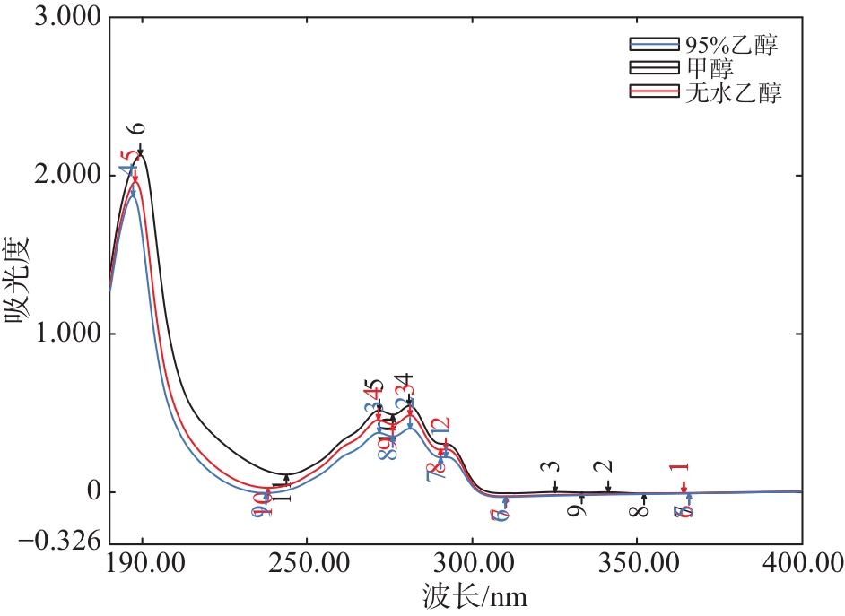
图1可知,在3种溶剂中均有2个吸收峰,分别在271和281 nm处,在281 nm处吸收峰值更大,因此,色谱波长选择最大吸收波长为281 nm。
图1 麦角甾醇标准品在不同溶剂中的全波长扫描

2.1.2 提取溶剂及时间的选择

表1可知,随着浸提时间的增加,样品中浸提出的麦角甾醇含量逐渐升高,但当浸提时间增加到一定时间(45、55 min),麦角甾醇的含量增加不明显。综合考虑,选择浸提时间为45 min为宜。而在浸提时间为45 min时,无水乙醇提取样品中麦角甾醇的效果相对较差;甲醇和95%乙醇提取样品中麦角甾醇其含量变化不明显,但95%乙醇相较于甲醇价格更为低廉,对环境污染低,更环保,且对人体健康伤害更小。综合考虑,本方法采用95%乙醇为样品的提取溶剂。
表1 不同提取溶剂及提取时间麦角甾醇含量
浸提时间/min 甲醇 无水乙醇 95%乙醇
峰面积 含量/(mg/kg) 峰面积 含量/(mg/kg) 峰面积 含量/(mg/kg)
15 397.4 600.7 374.4 615.1 354.2 610.6
25 420.4 623.4 389.7 640.3 380.3 654.8
35 450.0 673.7 404.8 666.9 399.9 695.2
45 469.3 716.3 413.0 688.4 416.5 719.2
55 490.2 722.8 418.4 695.9 432.8 726.3

2.1.3 流动相比例

表2可知,随着流动相中甲醇浓度的减少,麦角甾醇保留时间逐渐增加,但峰面积、峰高逐渐减小,甲醇∶水体积比为100∶0时峰面积最大,出峰时间较短,目标峰的不对称度较好。综合考虑选择纯甲醇作为流动相。
表2 不同流动性比例检测结果
流动性比例(甲醇∶水) 保留时间/min 峰面积 峰高/mAU

信噪比

(S/N)

不对称度(EP)
100∶0 13.350 410.1 23.659 49.4 1.12
98∶2 17.697 409.8 17.750 176 1.12
95∶5 30.757 407.0 10.212 76.9 1.24
90∶10 75.404 396.9 4.113 25.4 1.19

2.1.4 流速

表3可知,随着流动相流速的增加,麦角甾醇保留时间和峰面积均呈减小趋势。综合考虑信噪比和不对称度等,选择1.0 mL/min作为检测流速。
表3 不同流速检测结果

流速/

(mL/min)

保留时间/

min

峰面积 峰高/mAU 信噪比(S/N) 不对称度(EP)
0.6 18.698 429.7 26.977 191.3 1.09
0.8 15.638 418.5 24.689 184.5 1.09
1.0 13.036 415.3 25.360 285.6 1.09
1.2 11.103 380.8 23.995 214.2 1.10
1.4 9.568 363.5 22.369 198.6 1.12

2.2 方法验证

2.2.1 专属性

图2可知,该方法专属性强,无干扰;由图3可知,地顶孢霉培养物样品中麦角甾醇在13.032 min出峰,该时间前色谱峰与目标物质峰分离度好,表明该方法专属性良好,无杂峰干扰。
图2 空白试剂图谱
图3 地顶孢霉培养物中麦角甾醇图谱

2.2.2 线性范围

图4可知,标准曲线回归方程为y=27.335 x-8.672 4, R 2=0.999 2,麦角甾醇浓度在0.5~40 μg/mL,吸收峰面积与浓度呈良好的线性关系,且相关系数满足要求。
图4 麦角甾醇标准曲线

2.2.3 精密度

表4可知,3个不同浓度的标准品溶液,分别连续进样6次,日内精密度RSD值在0.20%~0.47%,表明该方法精密度良好,且符合GB/T 32465—2015《化学分析方法验证确认和内部质量控制要求》要求(相对标准偏差≤5.3%)。
表4 麦角甾醇6次重复性检测结果
浓度/(µg/mL) 1 2 3 4 5 6 平均 S RSD/%
10.2 285.4 285.0 283.0 284.0 284.1 281.8 283.9 1.32 0.47
20.4 570.9 571.1 572.2 571.9 570.2 570.3 571.1 0.82 0.14
30.6 848.2 850.3 850.7 852.8 848.6 850.7 850.2 1.66 0.20

2.2.4 准确度

表5可知,在相同样品中添加低、中、高不同浓度(相当于样品中麦角甾醇含量的50%、100%、150%)的标准品,加标回收率在90.45%~99.41%,平均回收率为94.96%,RSD值在2.25%~2.86%,符合《中国药典》四部(2025版)通则9101中对加标回收率的要求(80%~115%)。
表5 加标回收率
样品

含量/

(mg/kg)

加标浓度/(mg/kg) 回收率/% 批内
1 2 3 4 5 6 均值 RSD/%
1 617 300 94.82 91.87 90.45 92.55 96.32 92.25 93.04 2.30
600 95.23 94.12 91.35 96.45 99.41 96.87 95.57 2.86
1 200 96.47 94.32 97.65 99.12 96.89 93.25 96.28 2.25

2.2.5 定量限和检测限

表6可知,标准品溶液稀释到0.50 µg/mL时,S/N达到10.6,稀释到0.15 µg/mL时,S/N为3.8。以S/N分别为10和3时对应的浓度作为定量限和检测限。可以确定方法的检出限为0.15 µg/mL,定量限为0.50 µg/mL。
表6 检出限和定量限
样品 保留时间 峰面积

信噪比

(S/N)

样品浓度/(µg/mL)
标液 13.467 569.7 294.4 20.80
样品1 0.10
样品2 13.471 16.0 10.6 0.50
样品3 13.484 5.7 3.8 0.15

注:“—”表示未检出。

2.2.6 方法的应用

表7可知,同一批次样品结果重复性较好,方法稳定,可操作性强。
表7 10个供试样品麦角甾醇含量检测结果 单位:(mg/kg)
样品编号 检测结果1 检测结果2 平均值
1 752.2 733.8 743.0
2 649.4 659.0 654.2
3 690.6 675.6 683.1
4 789.1 762.2 775.6
5 714.6 713.0 713.8
6 670.9 658.0 664.4
7 739.0 733.9 736.4
8 614.4 619.6 617.0
9 539.8 547.5 543.6
10 585.6 572.0 578.8

3 结论与讨论

研究前期,利用常规高效液相色谱法测定地顶孢霉培养物中麦角甾醇含量,出现了分离度不理想、峰型对称性差等问题,可能是因为本研究产品地顶孢霉培养物是经过微生物发酵所得,属于非单一物质,其成分较复杂[12-13]。因此,本研究通过对提取条件及高效液相色谱法色谱条件进行优化,在地顶孢霉培养物中麦角甾醇含量上获得了良好分离效果和检测灵敏度。最终建立高效液相色谱法的检测条件:检测波长为281 nm,浸提时间45 min,浸提溶液为95%乙醇,流动相为100∶0(甲醇∶水),流速1.0 mL/min。在方法学验证中,各项指标均符合相关要求,表明该方法专属性强、线性关系良好、精密度和准确度高,准确、可靠,可用于地顶孢霉培养物中麦角甾醇的定量分析。
本研究方法的建立为地顶孢霉培养物的质量控制提供了一种有效的手段,可用于评价地顶孢霉培养物的品质,同时也为地顶孢霉培养物相关产品的研发和生产提供了质量标准检测依据。未来可进一步扩大该方法在其他产品中麦角甾醇检测上的应用。
[1]
李晓飞,陈蓓,张晓杰,等. 虫草发酵菌丝体中有效成分麦角甾醇的检测[J]. 贵州农业科学201341(9):112-115.

[2]
王晓琴,黄秀丽,陈月景,等. HPLC测定真菌及其制品中麦角甾醇含量[J]. 农学学报202111(4):56-61.

[3]
韩北忠,王家槐. 固态发酵中生物量的评估和测定[J]. 中国酿造200120(3):6-7,10.

[4]
Verma B Robarts R D Headley J V,et al. Extraction efficiencies and determination of ergosterol in a variety of environmental matrices[J]. Communications in soil science and plant analysis200233:3261-3275.

[5]
王尊生,王升厚,袁勤生. 冬虫夏草(Cordyceps sinensis)菌丝体固体发酵粉中麦角甾醇的定量分析[J]. 沈阳师范大学学报(自然科学版)200523(3):293-296.

[6]
李晶,倪朝敏,陈建华,等. 新型在线净化前处理HPLC-MS/MS测定香精香料中的麦角甾醇和麦角甾酮[J]. 食品科学201839(12):313-318.

[7]
李云华,李修禄. 用高效液相色谱法测定冬虫夏草及虫草乌鸡胶丸中麦角甾醇的含量[J]. 药学学报199126(10):768-771.

[8]
张志舟,张飞,李胜男,等. 高效液相色谱法测定山茶油中麦角甾醇含量[J]. 山东化工201746(13):68-70.

[9]
李迎雪,戴肖东,詹亚光. HPLC法测定猴头菌菌丝体中麦角甾醇含量[J]. 食用菌201032(6):63-64.

[10]
张薇薇,龚韬,韩东河,等. RP-HPLC测定人工虫草和天然虫草中麦角甾醇含量[J]. 中国中医药信息杂志201421(4):67-69.

[11]
李绍平,李萍,季晖,等. RP-HPLC测定天然与人工冬虫夏草中游离麦角甾醇的含量[J]. 中国现代应用药学200118(4):297-299.

[12]
刘书余,陈晋元,孙清平,等. HPLC法同时测定地顶孢霉培养物中腺苷、虫草素和麦角甾醇含量[J]. 扬州大学学报(农业与生命科学版)202243(6):111-117,132.

[13]
尹昭晔,孔炯炜,赵婷,等. HPLC法测定柳蘑麦角甾醇含量[J]. 食用菌202345(1):70-71,75.

文章导航

/