欢迎访问《安徽农学通报》官方网站,今天是
生态环境·植保

W市河流水质变化特征及治理对策

  • 王可欣 ,
  • 吴子怡 ,
  • 何晓丽 ,
  • 王川 ,
  • 王丽莎
展开
  • 湖北文理学院资源环境与旅游学院,湖北 襄阳 441053
王丽莎(1992—),女,河南永城人,博士,讲师,从事农业面源污染防治工作。

王可欣(2003—),女,湖北武汉人,从事农业面源污染防治研究。

Copy editor: 胡立萍

收稿日期: 2024-09-24

  网络出版日期: 2025-08-28

基金资助

湖北省自然科学基金项目(2022CFB783)

Characteristics of water quality changes and treatment strategies for rivers in W City

  • WANG Kexin ,
  • WU Ziyi ,
  • HE Xiaoli ,
  • WANG Chuan ,
  • WANG Lisha
Expand
  • School of Resources, Environment and Tourism, Hubei College of Arts and Sciences, Xiangyang 441053, China

Received date: 2024-09-24

  Online published: 2025-08-28

摘要

为探究2016—2024年W市河流水质变化情况,本研究基于研究区月际与年际地表水环境监测数据,采用水质类比分类法对其河流水质月际和年际的变化特征进行分析,并分析重点地区的氨氮、化学需氧量等污染物变化,并提出水质治理对策。结果显示,在月际变化上,2023年4—7月受降雨增多、农业活动频繁及高温影响,水质以Ⅲ和Ⅳ类为主,部分河段出现Ⅴ类及劣Ⅴ类水质;当年8月—次年3月水质改善,以Ⅱ类为主。在年际变化上,2016—2023年研究区河流水质显著改善,Ⅱ类和Ⅲ类水质占比从74.0%升至95.8%,劣Ⅴ类水质基本消除,主要得益于污水处理能力提升和污染源严格管控。监测点1和监测点2的水质总体较优,监测点3和监测点4的水质有待进一步改善。其中,监测点4主要超标因子为氨氮和化学需氧量。综合表明,近年来通过水资源管理,分阶段科学治理等措施,研究区水质状况明显提升,但部分区域仍需进一步加强水质治理。基于此,提出强化污染治理,运用科技手段加强生态修复,通过现场宣传、开展教育活动等形式加强公众参与等建议,以持续改善水质质量。

本文引用格式

王可欣 , 吴子怡 , 何晓丽 , 王川 , 王丽莎 . W市河流水质变化特征及治理对策[J]. 安徽农学通报, 2025 , 31(16) : 59 -63 . DOI: 10.16377/j.cnki.issn1007-7731.2025.16.014

Abstract

To investigate the changes in river water quality in City W from 2016 to 2024, the water quality analogy classification method was used to analyzes the monthly and interannual variations in river water quality characteristics and the changes in key pollutants such as ammonia nitrogen and chemical oxygen demand (COD) in critical regions based on surface water environmental monitoring data from the study area, recommendations for water quality management were proposed. The results showed that in terms of monthly variations, from April to July 2023, influenced by increased rainfall, frequent agricultural activities, and high temperatures, the water quality was primarily Class Ⅲ and Ⅳ, with some river sections reaching Class Ⅴ or worse than Class Ⅴ. From August to March of the following year, water quality improved, predominantly reaching Class Ⅱ. In terms of annual variations, the river water quality in study area significantly improved from 2016 to 2023, with the proportion of Class Ⅱ and Ⅲ water quality increasing from 74.0% to 95.8%, and Class Ⅴ or worse water quality nearly eliminated. This improvement was mainly attributed to enhanced wastewater treatment capacity and strict pollution source control. Monitoring point 1 and 2 generally exhibited better water quality, while the water quality at monitoring point 3 and monitoring point 4 required further improvement. Among them, the main exceeding factors at monitoring point 4 were ammonia nitrogen and chemical oxygen demand (COD).In summary, in recent years, through water resource management and phased scientific governance measures, the water quality in the study area has significantly improved. However, certain regions still require further water quality remediation. Based on this, recommendations were proposed, including strengthening pollution control, utilizing technological means to enhance ecological restoration, and increasing public participation through on-site publicity and educational activities to sustain water quality improvement.

近年来,水环境问题受到人们的广泛关注,河流作为重要的水资源载体和生态系统组成部分,其水质变化直接关系到区域生态安全与可持续发展[1]。目前,对水质变化及对策建议的研究较为丰富,嵇晓燕等[2]对黄河流域近10 a地表水环境质量的变化趋势进行初步分析,为流域水污染防治工作提供参考;张航等[3]采用单项水质因子评价法,对长江下游8个干流控制断面2016—2020年的水质实测资料进行分析,以了解长江干流水质状况;张中旺等[4]对2008—2017年汉江生态经济带湖北段水质监测分析,为水生态文明建设提供参考。目前,关于W市河流水质时空演变特征的系统性研究较少,因此,本研究利用研究区2016—2024年地表水环境质量状况数据资料,统计分析其境内河流监测断面的水质变化情况,并提出具体的水质改善建议,为水生态环境管理和保护提供参考。

1 材料与方法

1.1 数据来源

本研究以W市主要河流为研究对象,数据主要来源于研究区2023年4月至2024年3月地表水环境质量月报和2016—2023年生态环境状况公报。

1.2 分析方法

根据《地表水环境质量评价办法》[5],采用水质类别比例法对研究区河流水质进行评价。该方法适用于监测断面数量大于5个的情况,通过统计分析各水质类别(Ⅰ~Ⅴ类及劣Ⅴ类)的断面比例,实现对研究区域水质的定性评估。
选取研究区长江W段共23~38个监测断面水质进行月季统计分析;对长江及各支流(监测点1、2、3、4)的24~32个监测断面水质进行年际统计分析[13]。针对重点监测点4,选取GZ、WG、HL、HN 4个典型断面,参考高云鹏[1]和张航等[3]的指标选择,分析pH、溶解氧、生化需氧量、化学需氧量、高锰酸盐指数、氨氮、总磷、高锰酸盐指数等因子的含量、超标频次。

2 结果与分析

2.1 研究区河流水质月际变化特征

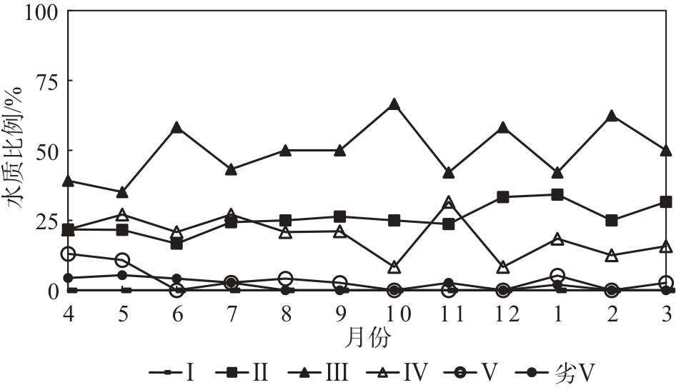
图1可知,2023年4月至2024年3月,研究区内水质基本稳定,水质类别以Ⅱ和Ⅳ类为主,其中Ⅲ类水质各月出现频次均最高,占比在35.1%~66.7%。2023年4—7月,Ⅳ类水质略高于Ⅱ类水质,占比23.2%。Ⅴ类和劣Ⅴ类水质出现频次较低,2023年4—5月占比分别为13.0%和5.4%。依据研究区气象数据显示,2023年4—7月研究区平均气温逐月升高,由18.5 ℃升高至29.0 ℃,4—5月月降水量>200 mm,同年其他月份月降水量均<60 mm。研究区月降水量显著增加,径流增大,导致地表污染物(如土壤中的化肥、农药、工业沉积物等)进入水体,加重水体负荷。加之高温导致水体富营养化,加速有机物分解,使得藻类等微生物生长,形成“藻华”现象,影响水质等级。此外,4—7月为研究区水稻种植季节,农业活动频繁,在降水的影响下,可能造成化肥农药的损失,在水循环的影响下,最终流入河流,导致水质下降,这些可能是研究区水质变化的主要原因。
图1 2023年4月至2024年3月研究区河流监测断面水质变化

2.2 研究区河流水质年际变化特征

图2可知,2016—2023年,研究区河流水质不断提高,Ⅱ类和Ⅲ类水质占比稳步上升,Ⅴ类和劣Ⅴ类水质占比不断下降。2016—2018年,Ⅱ类和Ⅲ类水质占比稳定在74.0%左右,劣Ⅴ类水质稳定在6.0%左右,河流水质总体为轻度污染。2019—2021年,Ⅱ类和Ⅲ类水质占比在80.0%~84.4%,无劣Ⅴ类水质,河流水质总体为良好。2022年Ⅱ类和Ⅲ类水质占比达95.8%,2023年占比为75.0%,均无Ⅴ类和劣Ⅴ类水质,河流水质分别达到优和良好标准。近年来,研究区开展了河流治理和水生态修复工程,如清理淤泥、修建人工湿地、实施生态补水等,水体的自净能力得到明显改善[6];据研究区第二次污染普查统计,2012—2021年,研究区污染物排放总量明显减少,与2011年相比,研究区化学需氧量、氨氮和二氧化硫排放量分别减少16.2%、41.1%和74.9%;治理设施和治理能力大幅提升,研究区城市污水处理厂数量由2011年的10座增至2021年的34座,污水处理能力由4.75亿吨/年提升至10.07亿吨/年,增幅112.2%。这些可能是2016—2023年研究区河流水质不断提高的主要原因。
图2 2016—2023年研究区河流监测断面水质变化

2.3 研究区长江及重要支流水质年际变化特征

图3可知,监测点1和2以Ⅱ类和Ⅲ类水质为主,占比分别在93.0%~100%、79.3%~100%,水质总体为优;监测点3以Ⅱ~Ⅳ类水质为主,属于轻度污染,其中2020年和2021年达到良好;监测点4以Ⅲ~劣Ⅴ类水质为主,Ⅱ~Ⅲ类水质占比波动上升,劣Ⅴ类水质下降,水质由重度污染经治理转为轻度污染。监测点1和2上游均位于山地丘陵地带,植被覆盖度高,水源涵养能力强[7-8],其中监测点1是淮河源生态功能保护区,监测点2是重要饮用水水源地,两支河流流经区域受到重点保护,流域内自然条件相对较好。而监测点3和监测点4主要位于平原丘陵地带,水源涵养能力相对较弱,污染源相对较多,治理难度较大。综上,监测点1和2相较于监测点3和监测点4,其流经区域自然条件较好、污染源较少、污染负荷低、治理得当,这使得2016—2023年间,该地水质总体为优。
图3 2016—2023年研究区长江及重要支流水质变化

2.4 研究区监测点4水质污染物情况

对监测点4的GZ、WG、HL、HN 4个监测断面的超标因子进行统计分析。由图4可知,化学需氧量、生化需氧量、氨氮、高锰酸盐指数是其主要超标因子。WG断面氨氮、总磷、化学需氧量、高锰酸盐超标量集中在4—5月,以氨氮超标最高,达到2.27倍,其次是化学需氧量(1.6倍)和总磷(1.35倍);HN断面化学需氧量超标较为严重,主要发生在2023年5月(2.35倍)、7月(2.8倍)、11月(1.5倍)。GZ断面各超标因子主要集中出现在4—7月,但污染物超标倍数均未达到1倍。由表2可知,2016—2023年,监测点4主要超标因子出现次数和所有超标因子出现次数均呈波动降低趋势。近年来,该监测点通过河流水污染防治、水生态保护、水资源管理,分阶段科学治理等措施,切实改善了水环境质量。
图4 2023年4月至2024年3月监测点4监测断面污染物超标倍数变化情况

(A)~(D)分别为监测断面GZ、WG、HL、HN。

表2 监测点4水质污染物超标情况
年份 主要超标因子 主要超标因子出现次数/次 所有超标因子出现次数/次
2016 化学需氧量、生化需氧量、高锰酸盐指数、氨氮 101 124
2017 化学需氧量、生化需氧量、高锰酸盐指数、氨氮 122 150
2018 化学需氧量、氨氮、溶解氧不达标 53 82
2019 化学需氧量、生化需氧量、高锰酸盐指数、氨氮 50 59
2020 化学需氧量、生化需氧量、高锰酸盐指数 49 68
2021 化学需氧量、生化需氧量、高锰酸盐指数、氨氮、溶解氧不达标 73 81
2022 化学需氧量、高锰酸盐指数、氨氮、溶解氧不达标 20 21
2023 化学需氧量、生化需氧量、高锰酸盐指数、溶解氧不达标 55 65

3 结论与讨论

基于研究区地表水环境监测数据,对该地区河流水质变化特征进行分析,月季分析表明,2023年4—7月,W市河流水质以Ⅲ和Ⅳ类为主,部分河段出现Ⅴ类及劣Ⅴ类水质,2023年8月至2024年3月水质改善,以Ⅱ类为主。从年际变化看,2016至2023年研究区河流水质显著改善,Ⅱ类和Ⅲ类水质占比从74.0%上升至95.8%,劣Ⅴ类水质基本消除,其中监测点4水质有待进一步改善,化学需氧量、生化需氧量、氨氮、高锰酸盐指数是其主要超标因子,通过水污染防治、水生态保护、水资源管理,分阶段科学治理等措施,2016—2023年,该点水质超标因子出现次数呈波动降低趋势。综合表明,研究区水质在不断改善,但仍需重点关注季节性污染波动及部分支流的水质治理。基于此提出以下治理对策。

3.1 强化污染源治理

研究水污染物来源包括工业污染、农业种植污染、畜禽养殖污染、农村生活污染等方面[9-10]。加强工业污染治理,进一步加大对工业企业的监管力度,建立健全水质监测网络,构建以排污许可制为核心的固定污染源监管制度体系,推进工业企业达标排放,实施重点行业清洁化改造。推进农业面源污染治理,合理施用化肥和农药,推进生态化种植、水产健康养殖和标准化生产,对畜禽养殖场(小区)的粪污进行资源化利用[11]。加强生活污水治理,推动城镇污水处理设施和服务向农村延伸,提高设施污水收集率和处理率,同时加大农村生活垃圾治理力度,完善和优化“户分类、组保洁、村收集、街转运、市及区集中处理”的农村生活垃圾收运处理体系。此外,深化城市黑臭水体整治,明确走“外源阻断、内源清淤、水质净化、清水补给、生态恢复”的技术路线[12]

3.2 加强生态修复与保护

在治理过程中,运用科技手段提升治理效能,建立智慧水务系统,推广先进治理技术,持续推进河道疏浚、生态修复、污染源治理等在内的流域综合治理工程,通过控源截污、水系治理等措施,全面提升流域治理水平。坚持系统观念,以流域为基本单元,统筹上下游、干支流、左右岸的治理,协调生态文明和经济社会发展,探索流域治理与发展新模式。

3.3 加强宣传教育

充分利用微博、微信等新媒体平台,发布河流水质保护的相关信息和案例,提高公众对河流水质保护的认识度和关注度。举办主题宣传活动,通过现场宣传、净滩护水等形式,向公众普及相关法律法规、水资源保护知识等。学校、企业等单位应开展河湖保护教育实践活动,增强公众责任感和使命感。同时,建议采取聘任民间河湖长、建立举报制度等措施,鼓励公众参与到河湖治理活动中,共同监督、保护河湖水质。
[1]
高云鹏. 基于“三条红线” 对中国水资源的现状分析与发展预测[J]. 区域治理2019(23):50-53.

[2]
嵇晓燕,孙宗光,聂学军,等. 黄河流域近10 a地表水质变化趋势研究[J]. 人民黄河201638(12):99-102.

[3]
张航,陈亚. 2016—2020年长江下游干流水质变化特征分析[J]. 水利水电快报202344(4):123-127,135.

[4]
张中旺,陈尧,徐存刚. 汉江生态经济带水环境保护问题及对策[J]. 人民珠江202041(2):50-55,66.

[5]
袁嘉苗. 地表水环境质量评价与原因分析[J]. 皮革制作与环保科技2022(19):78-80.

[6]
侯雷. 武汉市城市化与水资源协调发展研究[J]. 人民长江202354(8):124-130.

[7]
张婕,张翀,杨雅青. 汉江流域植被生长与水热的时滞累积效应[J]. 宝鸡文理学院学报(自然科学版)202444(1):49-56.

[8]
王暄宇,顾文权,胡雅洁,等. 变化环境下汉江流域水循环要素响应规律[J]. 中国农村水利水电2024(7):35-44.

[9]
尹珩,徐军,邓绪伟. 通顺河污染现状分析及防治对策[J]. 绿色科技202123(6):31-33.

[10]
张俊,朱进风,王海.通顺河流域农村面源污染负荷分析与“十四五”控制对策研究[J].区域治理2020,(33):114-116.

[11]
湛德,尹珩,孙辰. 通顺河武汉段水环境问题及污染防治对策研究[J]. 环境与发展201931(6):32-33.

[12]
朱志鹏,刘志鹏,张若天. 黑臭水体治理工艺研究[J]. 北方建筑20249(1):7-10.

文章导航

/