Welcome to visit Anhui Agricultural Science Bulletin!

Effects of lime application alone and biochar combined application on soil quality and wheat growth in fallow fields

  • FANG Shuqin 1 ,
  • BU Aiai 1 ,
  • HU Juanxin 1 ,
  • WU Linzhe 1 ,
  • YE Zhengqian 1, 2 ,
  • FANG Xianzhi 1, 2
Expand
  • 1. Key Laboratory of Soil Contamination Bioremediation of Zhejiang Province, Zhejiang A&F University, Hangzhou 311300, China
  • 2. State Key Laboratory of Subtropical Forest Cultivation Jointly Built by the Province and Ministry, Zhejiang A&F University, Hangzhou 311300, China

Received date: 2024-05-12

  Online published: 2024-11-12

Abstract

Through pot experiments, the effects of single application of lime based conditioners and combined application of biochar on the physical and chemical properties of fallow soil, and the growth and nutrient absorption of wheat seedlings were investigated, aiming to provide references for rapidly reducing acidity, improving quality, and enhancing crop yield in refarmed acidified soil. The results showed that compared with the control (without the application of conditioner), the application of conditioners in acidic soil (pH 5.35) increased the soil alkaline hydrolyzable nitrogen, available phosphorus, and available potassium content, with increases of 0.15%-7.93%, 2.38%-8.34% and 6.68%-21.33%, respectively. It also increased the fresh and dry root weight of wheat on acidic soil, with increases of 2.78%-15.63%, 1.14%-15.23%, respectively. The total root length, root volume and total surface area of single application of limestone powder increased 10.75%, 13.65% and 11.98% compared to CK. The application of lime conditioner alone and combined with biochar increased the total nitrogen, total phosphorus, and total potassium content in the above-ground wheat, with increases of 2.78%-12.92%, 2.27%-7.70% and 5.37%-9.44%, respectively. The increase in total nitrogen and total phosphorus content in wheat roots ranged from 18.82%-24.27%, 12.24%-22.37%, respectively. The application of biochar alone had a promoting effect on soil alkaline nitrogen and available potassium content; the combination of lime based conditioners and biochar could promote the increase of soil available phosphorus content, wheat biomass, and soil nitrogen, phosphorus, and potassium nutrients.

Cite this article

FANG Shuqin , BU Aiai , HU Juanxin , WU Linzhe , YE Zhengqian , FANG Xianzhi . Effects of lime application alone and biochar combined application on soil quality and wheat growth in fallow fields[J]. Anhui Agricultural Science Bulletin, 2024 , 30(21) : 1 -7 . DOI: 10.16377/j.cnki.issn.1007-7731.2024.21.001

耕地“非粮化”是指原来种植粮食作物的土地逐渐转变为种植利润效益更高的经济作物的现象[1]。浙江作为主要的粮食生产功能区之一,蔬菜、瓜果等作物种植面积较大[2]。耕地若长期“非粮化”种植可能引起土壤酸化现象。郑铭洁等[3]研究发现,水田改种茶树后土壤呈现酸化趋势,土壤pH由原来的5.82降低到4.56;阮弋飞等[4]研究发现,耕地改种雷竹后,种植区超50%的土壤pH<4.5;汪沛等[5]研究发现,耕地改种甘蔗后,土壤总体呈快速酸化趋势,种植甘蔗3年后,与非甘蔗种植区相比土壤pH下降了1.03个单位;于艳丽[6]研究发现,耕地改种葡萄后,其土壤呈明显酸化现象,葡萄田土壤pH在4.7~6.0。可见,耕地种植多年生经济作物可能因作物种类、栽培管理方式等出现土壤酸化问题。
石灰作为常规改良剂,被广泛运用于酸化农田改良,施用石灰可以明显提高土壤pH和盐基饱和度,增加交换性Ca2+、Mg2+的含量,降低土壤交换性铝含量[7]。瞿飞等[8]、王梅等[9]研究认为,石灰生产工艺简单、价格低,在农业生产应用中较为常见,是中和农业酸性土壤的有效措施之一。实践中由于石灰溶解度较小,大量或长期施用石灰不仅会影响土壤结构、造成土壤板结,而且可能会引起土壤营养元素失衡,导致作物减产。近年来,施用生物炭改良土壤酸化成为趋势,生物炭一般呈碱性,具有多孔、容重较小和比表面积大等特点,施用后土壤pH与生物炭碱度呈线性相关[10-11]。Biederman等[12]研究表明,生物炭的施用可以明显降低土壤酸度,生物炭表面存在的酚基、羧基和羟基,输入土壤后会与土壤溶液中的H+结合,降低土壤H+浓度,其自身含有许多无机成分,输入土壤可以提高土壤中无机营养成分和生物可利用性。本文通过研究石灰类调理剂单施和与生物炭配施对“非粮化”复耕地土壤理化性质及小麦生长的影响,为提高耕地质量、保障复耕作物产量提供参考。

1 材料与方法

1.1 试验地基本情况

试验地种植雷竹10余年,现为“非粮化”复耕地,雷竹林砍伐后种植小麦。土壤基本理化性质:pH 5.35,有机质44.40 g/kg,碱解氮178.20 mg/kg,有效磷108.60 mg/kg,速效钾286.00 mg/kg。供试小麦品种为国红6号。

1.2 试验设计

试验采用单因素随机区组设计,共设置了7个处理(表1),每个处理3次重复。将土壤与调理剂混匀后装盆,每盆装土500 g,小麦种子在清水中浸泡24 h后,挑选发芽种子进行移栽,每盆播种5粒,试验期间每隔1~2 d浇水1次,保证土壤表面微微湿润,其他管理栽培措施按照常规方法进行,试验过程中不施加肥料。石灰、石灰石粉和生物炭(C)均为市购,生物炭为稻壳生物炭,由浙江长三角聚农科技有限公司生产。
表1 试验设计
土壤pH 编号 处理

pH 5.35

(酸性)

CK
L2 0.2%石灰
B 0.5%C
LP2 0.2%石灰石粉
L2+B 0.2%石灰+0.5%C
LP2+B 0.2%石灰石粉+0.5%C
L1+LP1+B 0.1%石灰+0.1%石灰石粉+0.5%C

1.3 测定项目及方法

1.3.1 土壤基本理化性质测定

土壤自然风干后分别过10目和100目筛,用于后续土壤基础理化性质的测定。土壤碱解氮、有效磷和速效钾含量分别采用碱解扩散法、钼锑抗比色法和火焰光度法测定[13];土壤pH以土水比1.0∶2.5提取,使用pH计测定。

1.3.2 小麦生长量指标测定

将整个植株带根取出,分离根系与土壤,尽量保持根系完整,测定其株高。分离小麦地上部与地下部,称量鲜重,随后将其置于105 ℃下杀青30 min,70 ℃下烘至恒重,称量干重;小麦播种40 d后收获,用叶绿素仪(SPAD-502 Plus,柯尼卡美能达,日本)测量小麦最新成熟叶SPAD值。

1.3.3 小麦根系形态指标测定

将获得的完整根系冲洗干净,用根系扫描仪(EPSON V700,爱普生,中国)与Win RHIZO分析软件测定根系指标[14],获得总根长、根系体积、总根表面积和根系平均直径等指标。

1.3.4 小麦全氮、全磷和全钾含量测定

小麦样品用H2SO4-H2O2进行消煮,消煮液中的全氮、全磷和全钾分别采用靛酚蓝比色法、抗坏血酸钼蓝比色法和火焰光度法测定。

1.4 数据处理

数据用Excel 2016软件统计,利用SPSS 22.0软件进行单因素方差分析,Duncan法检验处理间统计学差异,并使用Origin 2024软件制作图表。

2 结果与分析

2.1 对土壤基本理化性质的影响

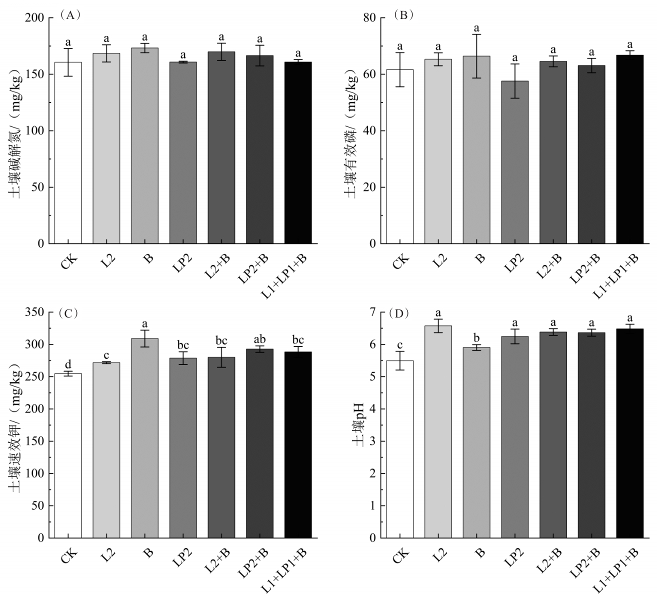
图1A可知,调理剂的施用增加了酸性土壤碱解氮含量,但与CK相比差异无统计学意义(P>0.05),L2、B、LP2、L2+B、LP2+B和L1+LP1+B与CK相比,土壤碱解氮含量分别增加了4.94%、7.93%、0.15%、5.83%、3.74%和0.15%,单施石灰类调理剂的土壤的碱解氮含量增幅在0.15%~4.94%,石灰类调理剂与生物炭配施的土壤的碱解氮含量增幅在0.15%~5.83%,单施生物炭的土壤碱解氮含量增幅最大(图1A)。施用调理剂后,土壤有效磷含量与CK相比无统计学意义(P>0.05),LP2较CK的土壤有效磷含量降低了6.56%,L2、B、L2+B、LP2+B、L1+LP1+B与CK相比,土壤有效磷含量分别增加了5.96%、7.74%、4.76%、2.38%和8.34%,L1+LP1+B的土壤有效磷含量增幅最大(图1B)。由图1C可知,施用调理剂的各组合较CK的土壤速效钾含量分别增加了6.68%、21.33%、9.42%、9.95%、14.92%和13.22%,差异具有统计学意义(P<0.05)。单施石灰类调理剂的土壤速效钾含量增幅在6.68%~9.42%,石灰类调理剂与生物炭配施的土壤速效钾含量增幅在9.95%~14.92%,单施生物炭的土壤速效钾含量增幅最大。由图1D可知,施用调理剂的各组合土壤pH较CK增加了1.08、0.41、0.75、0.89、0.87和0.99个单位,差异具有统计学意义(P<0.05)。单施石灰类调理剂的土壤pH提高0.75~1.08,石灰类调理剂与生物炭配施的土壤pH提高0.87~0.99,单施石灰对土壤pH的促进作用最大。
图1 调理剂对酸性土壤基本理化性质的影响

不同小写字母表示处理间差异在0.05水平存在统计学意义。

综上,对于复耕酸性土壤,单施生物炭对土壤碱解氮、速效钾含量促进作用较好,石灰类调理剂与生物炭配施对土壤有效磷含量的促进作用较好。

2.2 对小麦幼苗生长的影响

图2A所示,在酸性土壤上施用调理剂增加了小麦根鲜重,各组合与CK相比差异无统计学意义(P>0.05),小麦根鲜重较CK分别增加了13.89%、5.56%、15.63%、4.34%、2.78%和6.94%,单施石灰类调理剂小麦根鲜重的增幅在13.89%~15.63%,石灰类调理剂与生物炭配施的小麦根鲜重的增幅在2.78%~6.94%,LP2小麦根鲜重增幅最大。调理剂的施用影响小麦叶鲜重,与CK相比差异无统计学意义(P>0.05)。L2、L2+B和L1+LP1+B与CK相比,小麦叶鲜重分别增加了10.67%、14.67%和5.67%,B、LP2和LP2+B与CK相比,小麦叶鲜重分别降低了10.50%、7.17%和5.50%,L2+B小麦叶鲜重增幅最大(图2B)。
图2 调理剂对小麦幼苗生长的影响
单施生物炭的小麦根干重较CK降低了6.29%,差异无统计学意义(P>0.05);L2、LP2、L2+B、LP2+B和L1+LP1+B与CK相比,小麦根干重分别增加了5.00%、1.14%、4.40%、1.14%和3.43%,L2的小麦根干重增幅最大(图2C)。L2和L2+B与CK相比,小麦叶干重分别增加了8.18%和15.23%,B、LP2、LP2+B和L1+LP1+B与CK相比小麦叶干重分别降低了15.00%、7.73%、12.27%和2.73%,各处理组与CK差异均无统计学意义(P>0.05)(图2D)。
单施石灰提高了小麦株高,较CK增加了2.23%,B、LP2、L2+B、LP2+B、L1+LP2+B与CK相比,小麦株高分别降低了3.74%、0.08%、0.55%、6.43%和7.90%(图2E)。调理剂的施用降低了小麦SPAD值,各处理组较CK分别降低了4.61%、9.99%、3.23%、8.47%、8.03%和5.00%,其中单施生物炭的小麦SPAD值降幅最大,石灰类调理剂单施的小麦SPAD值的降幅在3.23%~4.61%,石灰类调理剂与生物炭配施的小麦SPAD值降幅在5.00%~8.47%(图2F)。
综上,石灰类调理剂与生物炭配施对复耕酸性土壤小麦生物量的增加效果较好。

2.3 对小麦根系生长的影响

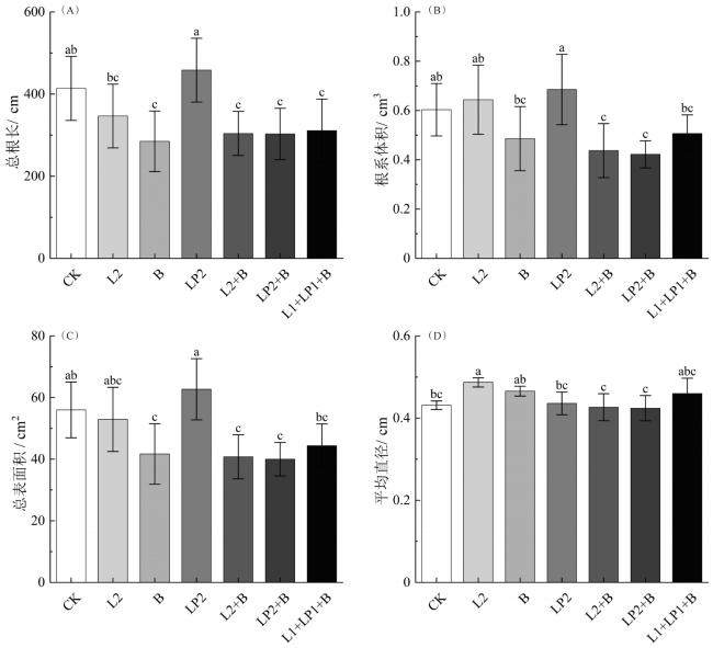
图3A所示,LP2提高了小麦总根长,较CK增加了10.75%;L2、B、L2+B、LP2+B和L1+LP1+B对小麦根总长有一定的抑制作用,较CK分别降低了16.27%、31.14%、26.51%、26.79%和24.85%。L2和LP2的小麦根系体积较CK分别增加了6.79%和13.65%,差异无统计学意义(P>0.05);B、L2+B、LP2+B和L1+LP1+B的小麦根系体积,较CK分别降低了19.46%、27.52%、30.01%和16.01%,且L2+B、LP2+B与CK差异具有统计学意义(P<0.05)(图3B)。LP2较CK的小麦根系总表面积增加了11.98%;L2、B、L2+B、LP2+B和L1+LP1+B的小麦根系总表面积较CK分别降低了5.49%、25.52%、27.21%、28.58%和20.79%(图3C)。L2提高了小麦根系平均直径,较CK增加了12.86%,差异具有统计学意义(P<0.05);L2+B和LP2+B的小麦根系平均直径较CK分别降低了1.14%和1.71%(图3D)。结果表明,LP2的总根长、根系体积和总表面积有一定程度提高,单施石灰石粉对小麦根系形态指标的促进作用较好。
图3 调理剂对小麦根系形态指标的影响

2.4 对小麦养分吸收的影响

图4A所示,单施生物炭降低了小麦地上部全氮含量,较CK降低了10.18%;L2、LP2、L2+B、LP2+B和L1+LP1+B的小麦地上部全氮含量较CK分别增加了0.64%、2.77%、6.47%、11.45%和12.92%,单施石灰类调理剂的小麦地上部全氮含量增幅在0.64%~2.77%,石灰类调理剂与生物炭配施的小麦地上部全氮含量增幅在6.47%~12.92%(图4A)。单施生物炭的小麦地下部全氮含量较CK降低了26.82%,差异无统计学意义(P>0.05);L2、LP2、L2+B、LP2+B和L1+LP1+B的小麦地下部全氮含量较CK分别增加了10.83%、16.86%、18.82%、19.92%和24.27%,单施石灰类调理剂小麦地下部全氮含量增幅在10.83%~16.86%,石灰类调理剂与生物炭配施的小麦地下部全氮含量增幅在18.82%~24.27%(图4B)。
图4 调理剂对小麦养分吸收的影响
调理剂的施用增加了小麦地上部全磷含量,较CK分别增加了10.76%、1.43%、25.67%、7.70%、6.68%和2.27%,单施石灰类调理剂的小麦地上部全磷含量增幅在10.76%~25.67%,石灰类调理剂与生物炭配施的小麦地上部全磷含量增幅在2.27%~7.70%(图4C)。调理剂的施用增加了小麦地下部全磷含量,较CK分别增加了21.05%、14.36%、11.18%、18.18%、12.24%和22.37%,单施石灰类调理剂小麦地下部全磷含量增幅在11.18%~21.05%,石灰类调理剂与生物炭配施的小麦地下部全磷含量增幅在12.24%~22.37%(图4D)。
调理剂的施用增加了小麦地上部全钾含量,较CK分别增加了1.09%、0.57%、0.87%、5.37%、8.85%和9.44%,单施石灰类调理剂的小麦地上部全钾含量增幅在0.87%~1.09%,石灰类调理剂与生物炭配施的小麦地上部全钾含量增幅在5.37%~9.44%(图4E)。单施生物炭的小麦地下部全钾含量较CK增加了35.96%,差异具有统计学意义(P<0.05);L2、LP2和L2+B的小麦地下部全钾含量较CK分别降低了30.43%、27.23%和6.10%,LP+B、L1+LP1+B的小麦地下部全钾含量较CK分别增加了14.17%、14.41%(图4F)。
综上,单施生物炭能增加复耕酸性土壤小麦地下部全钾含量,石灰类调理剂与生物炭配施能促进小麦对复耕酸性土壤地上部全氮、全磷和全钾养分的吸收。

3 结论与讨论

目前关于不同调理剂对酸性土壤改良效果的研究较多,但不同调理剂施用对酸性土壤改良效果、肥力改善及作物生长的影响研究相对较少。本文分析了常规土壤调理剂石灰、石灰石粉和生物炭的单施与配施对复耕酸性土壤速效养分及小麦生长的影响。结果表明,调理剂的施用明显提高了土壤pH,单施生物炭的土壤pH增幅弱于单施石灰类调理剂及石灰类调理剂与生物炭配施,可能是因为生物炭具有高度芳香性的碳组分和较高的碳氮比,性质较稳定,不易被分解[15]。单施生物炭对土壤碱解氮、速效钾含量的促进作用较好,这可能是因为生物炭中含有较高的灰分,可促进矿质养分快速向土壤释放,减少土壤钾素的淋失,使速效钾含量增加[16]
单施生物炭可增加复耕酸性土壤小麦地下部全钾含量,这可能是因为生物炭的速效钾含量较高,提高土壤钾含量,促进了小麦对钾养分的吸收[17]。石灰单施与生物炭的配施均能增加小麦地上部全钾含量,可能是因为秸秆生物炭中含有大量的矿质养分和金属元素,能够增加土壤有机质和速效钾的含量,且其具有丰富的孔隙结构,可降低土壤溶液的渗透速度,增强土壤对易淋失钾的吸附能力[18-19]
综上,单施生物炭对土壤碱解氮、速效钾含量有明显的促进作用。石灰类调理剂与生物炭配施能促进土壤有效磷含量、小麦生物量和土壤氮磷钾养分的增加。
1
白光林, 董丽玲. 农村耕地“非粮化”问题及治理对策:以丹阳市为例[J]. 农村经济与科技202435(9):12-15,24.

2
潘晓乖. 浙江省耕地非粮化影响因素及对策研究[D]. 舟山: 浙江海洋大学, 2023.

3
郑铭洁, 楼玲, 周成云, 等. 长期非粮化利用对水田土壤碳库及酸度和容重的影响[J]. 中国农技推广202036(12):62-65.

4
阮弋飞, 邬奇峰, 张丹, 等. 临安市主要农地土壤酸化特征及其改良技术探讨[J]. 农学学报20166(3):21-26.

5
汪沛, 张丽娟, 崔祥芬, 等. 陇川县甘蔗土壤pH值时空变化特征及影响因素[J]. 环境监测管理与技术202335(5):39-44.

6
于艳丽. 基于葡萄田整改的浦江县不同种植模式的效益及土壤理化性质差异的初步研究[D]. 杭州: 浙江农林大学, 2023.

7
蔡东, 肖文芳, 李国怀. 施用石灰改良酸性土壤的研究进展[J]. 中国农学通报201026(9):206-213.

8
瞿飞, 范成五, 刘桂华, 等. 钝化剂修复重金属污染土壤研究进展[J]. 山西农业科学201745(9):1561-1565,1576.

9
王梅, 蒋先军. 施用石灰与钙蒙脱石对酸性土壤硝化动力学过程的影响[J]. 农业资源与环境学报201734(1):47-53.

10
TIAN D S NIU S L. A global analysis of soil acidification caused by nitrogen addition[J]. Environmental research letters201510(2):024019.

11
YUAN J H XU R K. The amelioration effects of low temperature biochar generated from nine crop residues on an acidic Ultisol[J]. Soil use and management201127(1):110-115.

12
BIEDERMAN L A HARPOLE W S. Biochar and its effects on plant productivity and nutrient cycling:a meta-analysis[J]. GCB bioenergy20135(2):202-214.

13
武治华, 牛继平. 青海省贵德县耕层土壤农化指标分析[J]. 安徽农业科学201745(24):114-117.

14
潘雄波, 向丽霞, 胡晓辉, 等. 外源亚精胺对盐碱胁迫下番茄幼苗根系线粒体功能的影响[J]. 应用生态学报201627(2):491-498.

15
章明奎, WALELIGN D B, 唐红娟. 生物质炭对土壤有机质活性的影响[J]. 水土保持学报201226(2):127-131,137.

16
GAUTAM D K BAJRACHARYA R M SITAULA B K. Effects of biochar and farm yard manure on soil properties and crop growth in an agroforestry system in the Himalaya[J]. Sustainable agriculture research20176(4):74.

17
李青山, 王德权, 杜传印, 等. 有机无机肥与生物炭配施对烤烟生长发育和烟叶质量的影响[J]. 土壤通报202152(6):1393-1401.

18
GASKIN J W STEINER C HARRIS K, et al. Effect of low-temperature pyrolysis conditions on biochar for agricultural use[J]. Transactions of the asabe200851(6):2061-2069.

19
张祥, 王典, 姜存仓, 等. 生物炭对我国南方红壤和黄棕壤理化性质的影响[J]. 中国生态农业学报201321(8):979-984.

Outlines

/