Welcome to visit Anhui Agricultural Science Bulletin!

Research on the habitat and species diversity of spontaneous plants in road green spaces of Nanchang City

  • GUO Ziyi
Expand
  • College of Landscape and Art, Jiangxi Agricultural University, Nanchang 330045, China

Received date: 2024-12-31

  Online published: 2025-09-16

Abstract

To explore the distribution characteristics of spontaneous plants in different road green spaces in heterogeneous habitats, this study took 12 road green spaces in Nanchang City, Jiangxi Province, including Honggu Middle Avenue in Honggutan District and Xinjian District of the area as the research area, and the species composition and diversity characteristics of spontaneous plants under different habitat types were investigated and analyzed. The results showed that (1) a total of 211 species of spontaneous plants were recorded in the three types of roads (main roads, secondary roads, and branch roads), belonging to 161 genera of 55 families. Among them, the secondary roads contained the largest number of species. The proportion of spontaneous plants was relatively high, accounting for 70.14% of the total number of spontaneous plants. A total of 7 spontaneous plants life forms were recorded, among which the number of annual and biennial herbaceous plants was the largest, reaching 113 species. (2) The road green spaces in the study area were classified into eight habitat types, mainly including green belt-trees, shrubs and grasses, green belt-trees and grasses, tree pool-trees, etc. The diversity of spontaneous plants in different habitat types varied significantly. The diversity in the green belt-tree grass habitat and abandoned land was relatively high, while the diversity in the tree pool-ree grass habitat was significantly lower than that in other habitats. In conclusion, the spontaneous plants species in the road green space of the study area were rich, and there are significant differences in the richness, diversity and uniformity indices of different habitat types. In the design and management of road green spaces, human interference should be reduced and the habitat structure optimized to maintain the diversity of spontaneous plants and the ecological functions of the city.

Cite this article

GUO Ziyi . Research on the habitat and species diversity of spontaneous plants in road green spaces of Nanchang City[J]. Anhui Agricultural Science Bulletin, 2025 , 31(17) : 91 -94 . DOI: 10.16377/j.cnki.issn1007-7731.2025.17.023

道路绿地是城市绿地系统的重要组成部分,包括行道树绿化带、分车绿化带和交叉口绿地等。这些绿地不仅能美化城市景观,还能改善空气质量、降低噪音、调节微气候,并通过增强生态网络的连通性,在维护生物多样性和提供生态服务等方面发挥关键作用[1]。然而,在规划、建设和维护过程中,人为干扰可能会破坏自然生境,进而影响生物多样性[2]。作为城市道路绿地中的重要组成部分,自生植物具有较强的适应性,在城市自然生态系统中分布广泛[3]。道路绿地中的自生植物不仅能提升生物多样性,还具有吸附颗粒物、调节微气候等改善环境质量的作用[4]。当前,对道路绿地自生植物开展系统研究对提升城市植物多样性具有重要意义。
相关研究主要集中在河流廊道、城市公园、校园等建成区域自生植物的物种组成及分布特征、对不同类型生境的响应机制以及景观应用等方面。李晓璐等[5]研究表明,北京城市公园绿地自生植物共有247种,隶属67科179属,乡土植物较多。梁新悦等[6]研究认为,校园绿地自生植物主要生长在行政办公区、学生生活区以及微生境类型中的乔—草生境、行道树池绿地生境、灌草生境及人工草坪生境。尹豪等[7]研究发现,城市闲置地共有自生植物39种,菊科植物数量较多,优势种为藜(Chenopodium album)、黄花蒿(Artemisia annua)等。近年来,相关学者开始关注自生植物的功能性状[8]以及其与土壤因子之间的关系[9],但针对自生植物作为城市道路绿地生态网络关键组成部分的研究有待进一步深入。本研究选取江西南昌红谷滩区与新建区内的红谷中大道等12条道路绿地,调查其自生植物群落物种组成、生境类型,探讨自生植物在道路绿地中的分布特征和多样性特征,为城市道路绿地自生植物群落的营建和维护提供参考。

1 材料与方法

1.1 研究区基本情况

研究区地处长江中下游平原(115°27′—116°35′ E,28°10′—29°11′ N),属亚热带季风气候区,交通发达,市内道路网络已全面覆盖市辖区域。依据CJJ 37—2012 《城市道路工程设计规范》,选取红谷滩区与新建区内12条不同道路等级的城市道路(表1)作为调查研究对象。
表1 道路选择
道路名称 道路等级 区域 道路名称 道路等级 区域 道路名称 道路等级 区域
红谷中大道 主干道 红谷滩区 春晖路 次干道 红谷滩区 雅苑东路 支路 红谷滩区
庐山南大道 主干道 红谷滩区 金融大街 次干道 红谷滩区 江报路 支路 红谷滩区
青岚大道 主干道 新建区 紫荆路 次干道 新建区 上罗路 支路 新建区
双港西大街 主干道 新建区 香樟路 次干道 新建区 杜鹃路 支路 新建区

1.2 研究方法及内容

1.2.1 样点选择

依照研究区的气候变化设置具体的调查时间,本次调研时间为2023年9月—2024年8月。在研究区内按照道路情况划分样带,在每条样带上间隔300 m,均匀选取1~2个1 m×1 m的样方记录植物种类。当样带间物种组成发生明显变化或出现新生境时,增设典型样方以提高数据的代表性。

1.2.2 调研内容

本次调查共设置草本群落样方932个,记录所有样方内植物名称、株数、是否为自生植物(包括城市杂草和栽培植物中的木本植物更新幼苗)。参考李晓璐等[5]对植被分布驱动因素的研究结果,记录样方所处的生境类型、道路绿带位置、道路朝向,以及内部植被结构。参考《中国植物志》[10]《江西植物志》[11]以及中国外来入侵物种信息系统(https://www.iplant.cn/ias)确定植物来源、分布情况以及生活型等信息。其中,本地物种为自然分布于江西地区的物种,外来物种指自然分布范围在江西以外的物种。
物种丰富度采用Patrick指数R,群落多样性利用Shannon-Wiener指数H,均匀度采用Pielou指数J进行考量,其计算如式(1)~(3)。
R = S
H = - Σ ( P i ) l n P i
J = H / l n S
式(2)中,Pi 为物种i占总个体数的比例;式(1)、(3)中,S均为样方种记录的物种数量。

1.3 数据分析

采用Excel 2016、R 4.4.2软件进行数据整理、计算及绘图,采用R 4.4.2软件的vegan包进行物种丰富度、群落多样性以及均匀度指数的计算。

2 结果与分析

2.1 不同道路绿地自生植物的物种组成

本次调研记录到自生植物共有211种,隶属55科161属。不同等级道路绿地中物种数量差异较大,其中次干道包含的物种数量最多,共有161种,隶属47科128属;主干道次之,共有133种,隶属46科108属;支路物种数最少,共有125种,隶属43科102属。从物种来源上看,共有本地物种148种,占自生植物总数的70.14%;外来物种63种,占自生植物总数的29.86%,其中入侵物种58种,占自生植物总数的27.49%。不同道路等级的物种来源情况差异不明显,本地物种占比在67.20%~73.68%,入侵物种占比在26.45%~48.00%。
本研究共记录到7种自生植物生活型,其中,一、二年生草本的数量最多,为113种,占总物种数的53.55%;多年生草本共81种,占总物种数的38.39%;藤本7种,占总物种数的3.32%;苔藓类、蕨类均仅有2种,分别占总物种数的0.95%。由于道路绿地受人为干扰的程度较大,演替时间较短,仅记录到不同生活型的乔、灌木实生小苗14种,如构树、樟、栾树等,多为研究区常见的道路绿化树种。

2.2 不同道路生境中自生植物的分布特征

2.2.1 不同道路绿地生境划分

表2可知,根据道路绿化设计标准、样地的基质类型以及栽培植物群落结构将研究区道路绿地划分为8种生境类型,主要包括绿带—乔灌草(GB-ASG)、绿带—乔草(GB-AG)、树池—乔木(TP-A)等。在8种生境中,TP-A是在道路绿地中最常见的生境类型,共记录到136个物种,其次是道路缝隙(RG)和草坪(GR),其物种数分别为132和106个。
表2 不同生境特征及物种数量
微生境 特征描述 样方数量/个 物种数量/个
绿带—乔灌草(GB-ASG) 道路绿地栽植乔灌草的多层群落 76 84
绿带—乔草(GB-AG) 道路绿地栽植乔木、灌木的群落 25 49
树池—乔木(TP-A) 道路绿地仅栽植乔木的树木种植池 188 136
树池—乔草(TP-AG) 道路绿地栽植乔木、草本植物的树木种植池 191 96
铺装缝隙(PG) 硬质铺装之间的缝隙 97 85
道路缝隙(RG) 路面与道路红线之间的缝隙 117 132
草坪(GR) 人工栽培的草本植物 176 106
废弃地(AL) 未被利用废弃地 62 97

2.2.2 不同生境自生植物的多样性特征

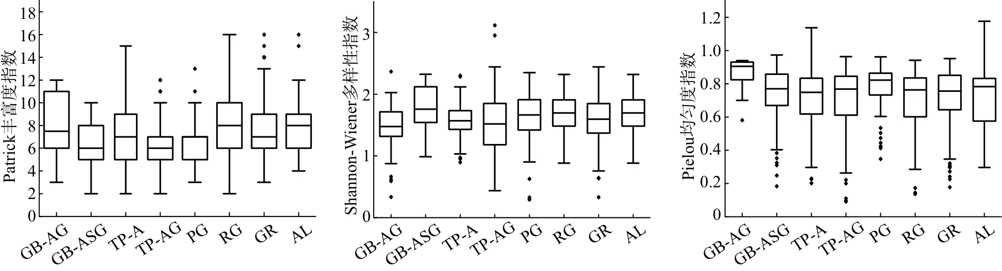
不同生境自生植物的多样性特征如图1所示。由Kuskal-Wallis检验得知,不同生境中Patrick丰富度指数、Shannon-Wiener多样性指数以及Pielou均匀度指数差异明显。RG(8.17)、废弃地(AL,7.97)、GR(7.88)以及TP-A(7.13)的Patrick丰富度指数高于铺装缝隙(PG,6.49)、GB-ASG(6.22),以及树池—乔草(TP-AG,6.03);GB-AG(1.81)、AL(1.70)、RG(1.66)、GR(1.60)、TP-A(1.52)的Shannon-Wiener多样性指数高于TP-ASG(1.48)、GB-AG(1.44);GB-AG(0.88)、PG(0.81)的Pielou均匀度指数高于TP-A(0.76)、TP-AG(0.75)、RG(0.74)。
图1 不同生境的自生植物多样性差异分析

3 结论与讨论

本研究在研究区道路绿地共调查到自生草本植物211种,隶属55科161属,与李晓鹏等[12]、谢婉丽等[13]的研究结果相比,研究区道路绿地的自生植物资源相对丰富,本地物种数量占比较高,为70.14%,以菊科物种较多,可能与菊科植物种子重量较轻以及道路交通流量较大促进植物的传播和扩散有关[14]
作为道路绿地中常见的生境类型,树池生物多样性指数低于其他微生境,可能与树池受到人为管护干扰较高有关,优势种竞争限制了种群的生态位空间,从而降低了生物多样性[15]。在不同树池微生境中,树池—乔木的丰富度指数高于树池—乔草,主要是树池面积较小,限制了植物的扩散和种群规模。在乔木+草本植物的群落中,草本植物资源的竞争激烈,从而限制某些自生植物的生长和分布。树池中的光照常被建筑和行道树冠层遮挡,会影响其植物多样性。此外,树池的养护强度较高,常采取清除杂草、铺设硬质材料(如防护网或石块)等措施,对草本植物和伴生植物的自然生长具有抑制作用[16]
道路绿地中的自生植物为城市生态系统提供重要的生态服务,包括构建绿色通道、维持生物多样性、增强城市生态韧性。这些植物群落是道路边缘地带低维护、高生态价值景观的重要组成部分,展现了城市自然演替的动态特征。然而,当前道路绿地的建设与管护活动对自生植物的生长存在一定影响。在管护活动中应采用适度的维护策略,如调整修剪频率,避免过度干扰,以维持适中的干扰水平,促进物种多样性。在建设阶段,对于树池等生物多样性较低的区域,可减少栽培底层植物种类或使用透水材料,以优化生境条件,提升生态功能。可减少高强度建设,最大化发挥自生植物的生态服务功能,实现低维护成本与高生态效益的平衡。
综上,研究区道路绿地自生植物资源较丰富,共记录到211种,隶属55科161属,其中本地物种占比达70.14%。在生活型方面,以生长快速的一年生和二年生植物为主。道路等级和生境类型的差异对自生植物的多样性具有明显影响。在各类生境中,绿地—乔草的物种多样性最高,树池—乔草的多样性最低。尽管树池生境多样性较低,但因其靠近道路,其物种数量较高。此外,次干道管理强度较低且人为干扰较少,其多样性明显高于其他等级道路。基于以上研究结果,在城市道路的规划与维护中,应减少树池区域的硬质建设以及草本植物的栽植,进一步增加分车路带—乔草生境的面积,并保持适当的管护强度,以提升道路绿地的生态效益。
[1]
WEBER F KOWARIK I SÄUMEL I. Herbaceous plants as filters:immobilization of particulates along urban street corridors[J]. Environmental pollution2014186:234-240.

[2]
XING Y G JONES P DONNISON I. Characterisation of nature-based solutions for the built environment[J]. Sustainability20179(1):149.

[3]
李晓鹏,冯黎,黄瑞,等. 成都城区河流廊道自生植物的物种组成及其响应不同生境的多度格局[J]. 中国园林202339(8):108-114.

[4]
李晓鹏,董丽,关军洪,等. 北京城市公园环境下自生植物物种组成及多样性时空特征[J]. 生态学报201838(2):581-594.

[5]
李晓璐,张梦园,范舒欣,等. 基于不同生境的北京城市公园绿地自生植物分布特征研究[J]. 环境科学研究202437(10):2118-2125.

[6]
梁新悦,游桂璇,祝珊,等. 哈尔滨市高校校园绿地自生植物多样性及其在异质生境中的分布特征[J]. 中国园林202339(12):138-144.

[7]
尹豪,李金诺,吴晓妍,等. 城市闲置地内自生植物形成的荒野景观特征研究[J]. 风景园林202431(11):31-37.

[8]
骆沁宇,张梦园,李晓璐,等. 北京城市绿地不同生境自生植物多样性特征及其功能性状组成[J]. 生态学报202444(11):4744-4757.

[9]
尤其,商妞,代挽玉,等. 城市闲置地自生植物种间联结及土壤因子分析:以郑州北龙湖公园为例[J]. 西北林学院学报202338(5):270-278.

[10]
中国科学院中国植物志编辑委员会. 中国植物志 第一卷-总论[M]. 北京:科学出版社,2004.

[11]
《江西植物志》编辑委员会编著. 江西植物志[M]. 南昌:江西科学技术出版社,2014.

[12]
李晓鹏,张思凝,冯黎,等. 成都城区河流廊道自生植物的生境及物种多样性[J]. 风景园林202229(1):64-70.

[13]
谢婉丽,王奇悦,王秋雪,等. 闽江福州段自生草本植物生态位和种间联结研究[J]. 热带亚热带植物学报202533(2):149-158.

[14]
LÁZARO-LOBO A ERVIN G N. A global examination on the differential impacts of roadsides on native vs. exotic and weedy plant species[J]. Global ecology and conservation201917:e00555.

[15]
VILJUR M L ABELLA S R ADÁMEK M,et al. The effect of natural disturbances on forest biodiversity:an ecological synthesis[J]. Biological reviews202297(5):1930-1947.

[16]
LI X P FAN S X GUAN J H,et al. Diversity and influencing factors on spontaneous plant distribution in Beijing Olympic Forest Park[J]. Landscape and urban planning2019181:157-168.

Outlines

/